Subjects
Online Tutoring
Homework Help
Homework Library
Tutors
Online Classes
More
Bookstore
Blog
Technical Tips
FAQ
Contact Us
Get Help Now
Home
Homework Library
Physics
Physics - Other
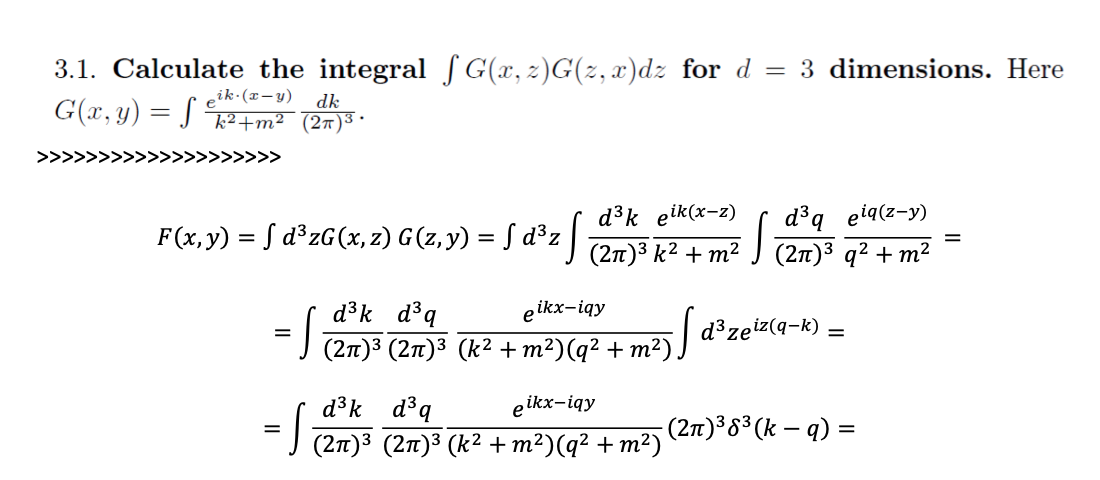
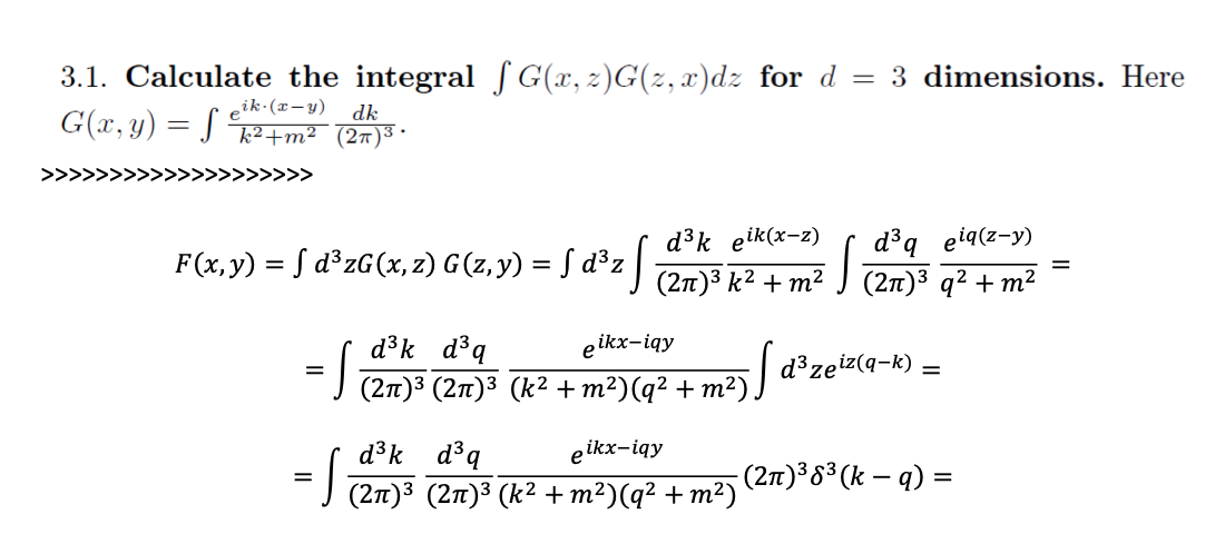
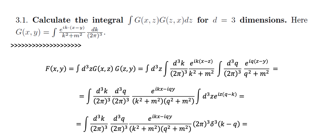
3.1. Calculate the integral f G(x,x)G(z,x)dz for d = 3 dimensions. ...
3.1. Calculate the integral f G(x,x)G(z,x)dz for d = 3 dimensions....