Subjects
Online Tutoring
Homework Help
Homework Library
Tutors
Online Classes
More
Bookstore
Blog
Technical Tips
FAQ
Contact Us
Get Help Now
Home
Homework Library
Physics
Physics - Other
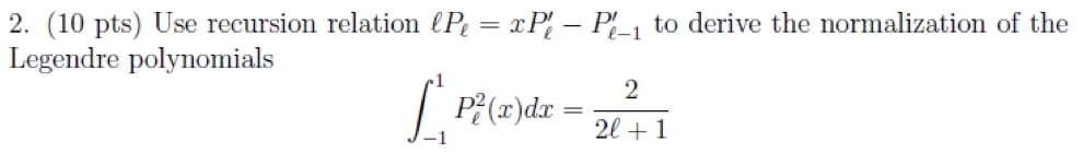
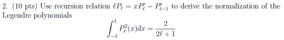
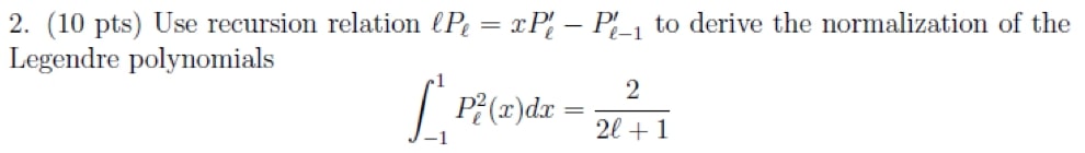
2. (10 pts) Use recursion relation ePe = xP/ - Pi-1 to derive the n...
2. (10 pts) Use recursion relation ePe = xP/ - Pi-1 to derive the n...