Subjects
Online Tutoring
Homework Help
Homework Library
Tutors
Online Classes
More
Bookstore
Blog
Technical Tips
FAQ
Contact Us
Get Help Now
Home
Homework Library
Physics
Physics - Other
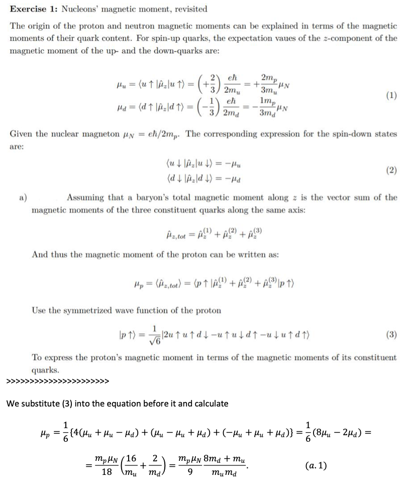
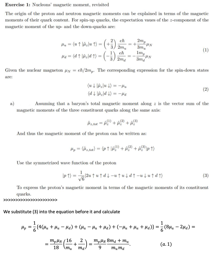
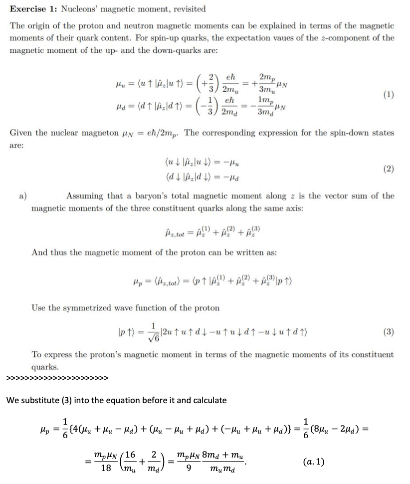
Exercise 1: Nucleons' magnetic moment, revisited The origin of the...
Exercise 1: Nucleons' magnetic moment, revisited The origin of the...