Subjects
Online Tutoring
Homework Help
Homework Library
Tutors
Online Classes
More
Bookstore
Blog
Technical Tips
FAQ
Contact Us
Get Help Now
Home
Homework Library
Physics
Quantum Physics
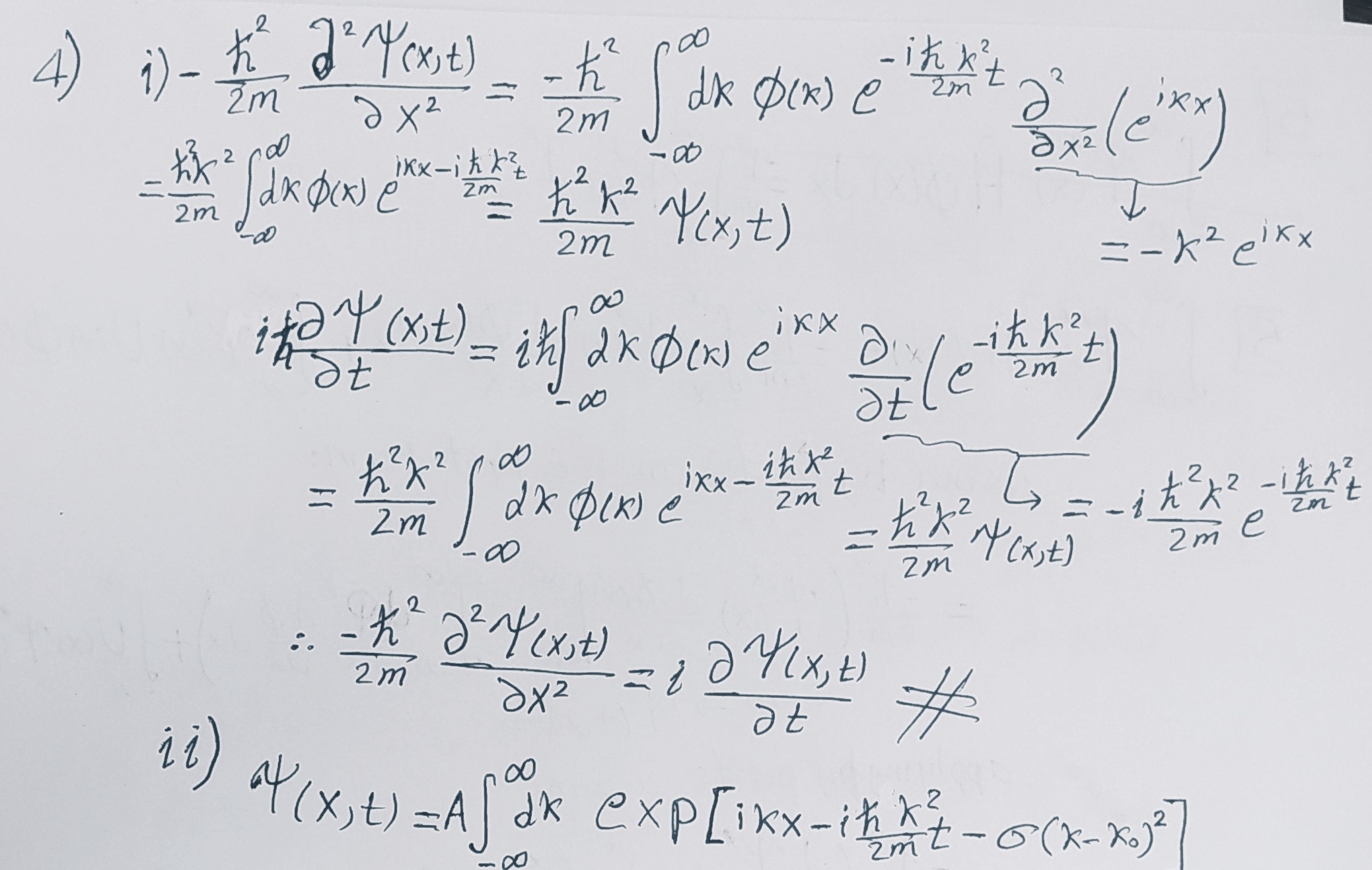
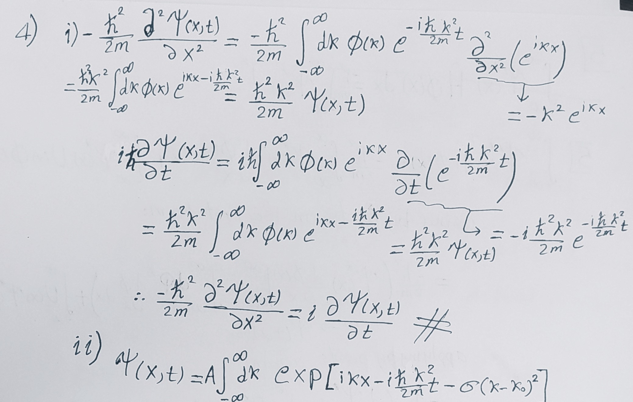
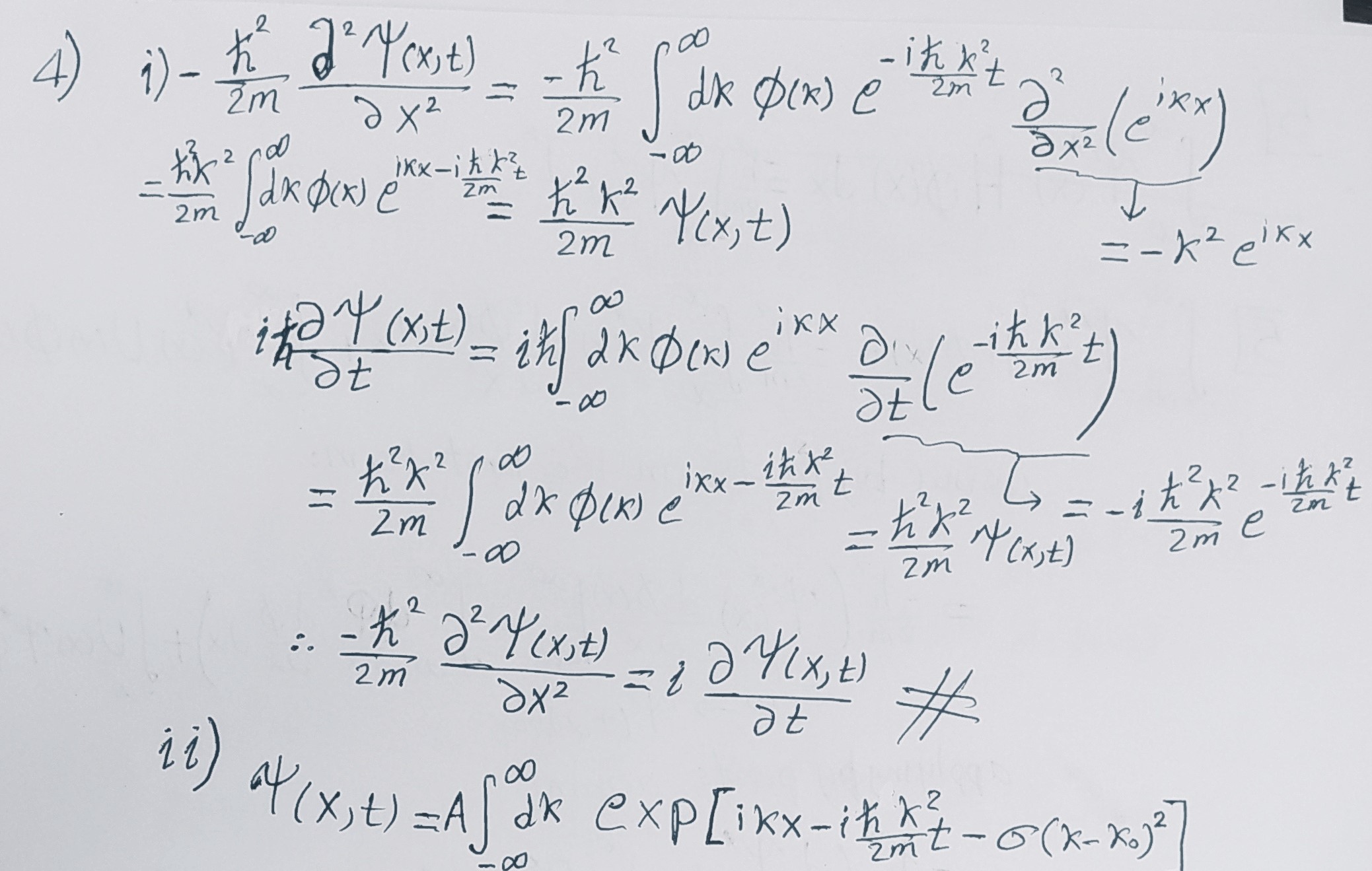
Problem 4 The wave function of a free particle of mass m (free mea...
Problem 4 The wave function of a free particle of mass m (free mea...