Subjects
Online Tutoring
Homework Help
Homework Library
Tutors
More
Bookstore
Blog
Technical Tips
FAQ
Contact Us
Get Help Now
Home
Homework Library
Physics
Quantum Physics
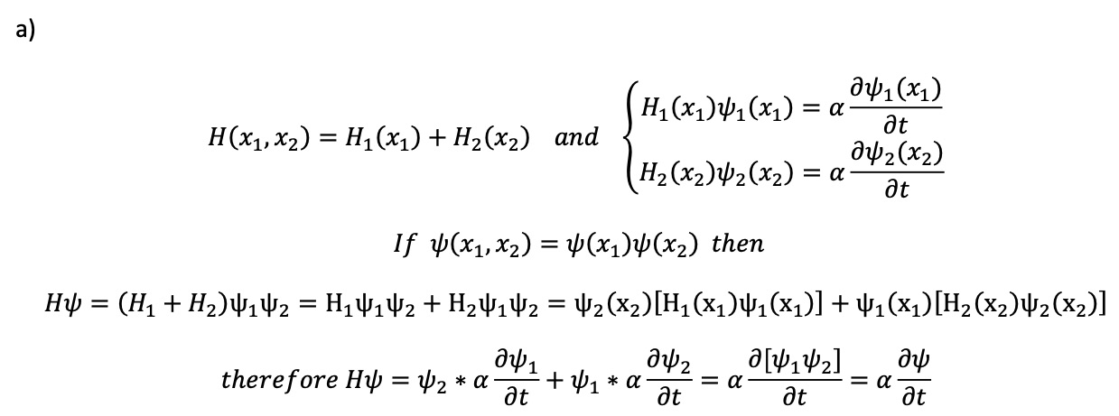
3.20 (a) The time-dependent Schrödinger equation is of the form ...
3.20 (a) The time-dependent Schrödinger equation is of the form C...