Subjects
Online Tutoring
Homework Help
Homework Library
Tutors
Online Classes
More
Bookstore
Blog
Technical Tips
FAQ
Contact Us
Get Help Now
Home
Homework Library
Physics
Quantum Physics
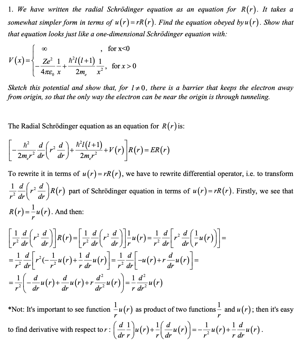
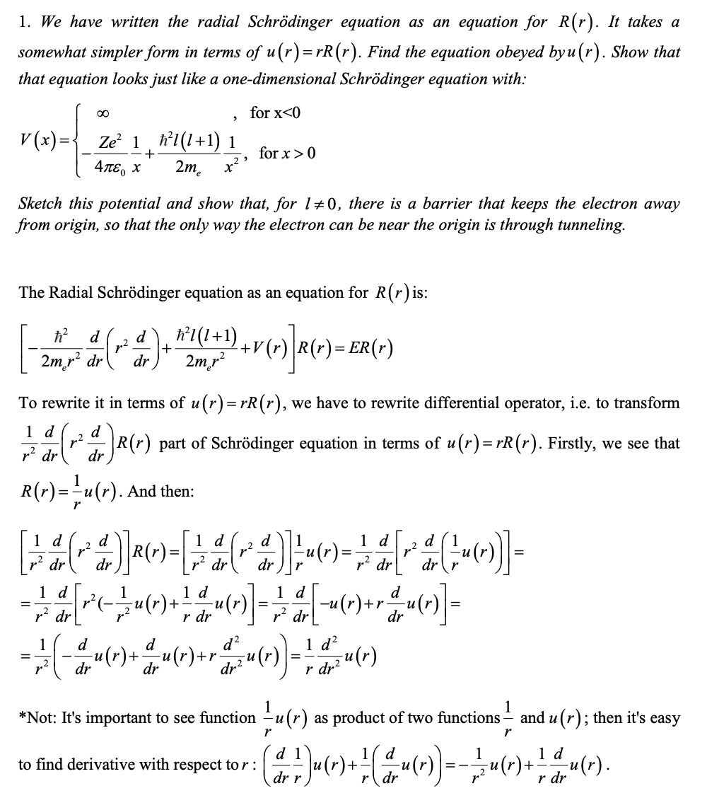
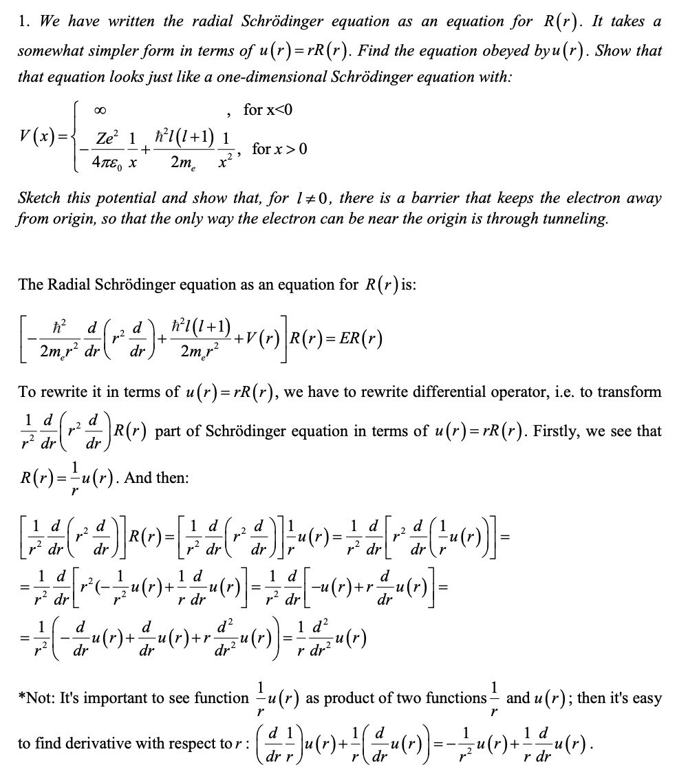
1. " We have written the radial Schrödinger equation as an...
1. " We have written the radial Schrödinger equation as an e...