Subjects
Online Tutoring
Homework Help
Homework Library
Tutors
Online Classes
More
Bookstore
Blog
Technical Tips
FAQ
Contact Us
Get Help Now
Home
Homework Library
Physics
Quantum Physics
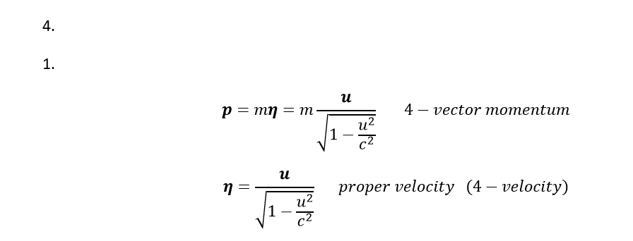
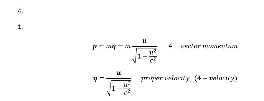
Question 4 Special relativity and electromagnetism 1. Write down ...
Question 4 Special relativity and electromagnetism 1. Write down...