Subjects
Online Tutoring
Homework Help
Homework Library
Tutors
More
Bookstore
Blog
Technical Tips
FAQ
Contact Us
Get Help Now
Home
Homework Library
Physics
Quantum Physics
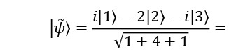
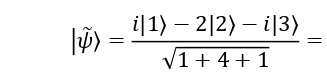
. 5. Consider a three-dimensional vector space spanned by an orthon...
. 5. Consider a three-dimensional vector space spanned by an orthon...