Subjects
Online Tutoring
Homework Help
Homework Library
Tutors
Online Classes
More
Bookstore
Blog
Technical Tips
FAQ
Contact Us
Get Help Now
Home
Homework Library
Physics
Quantum Physics
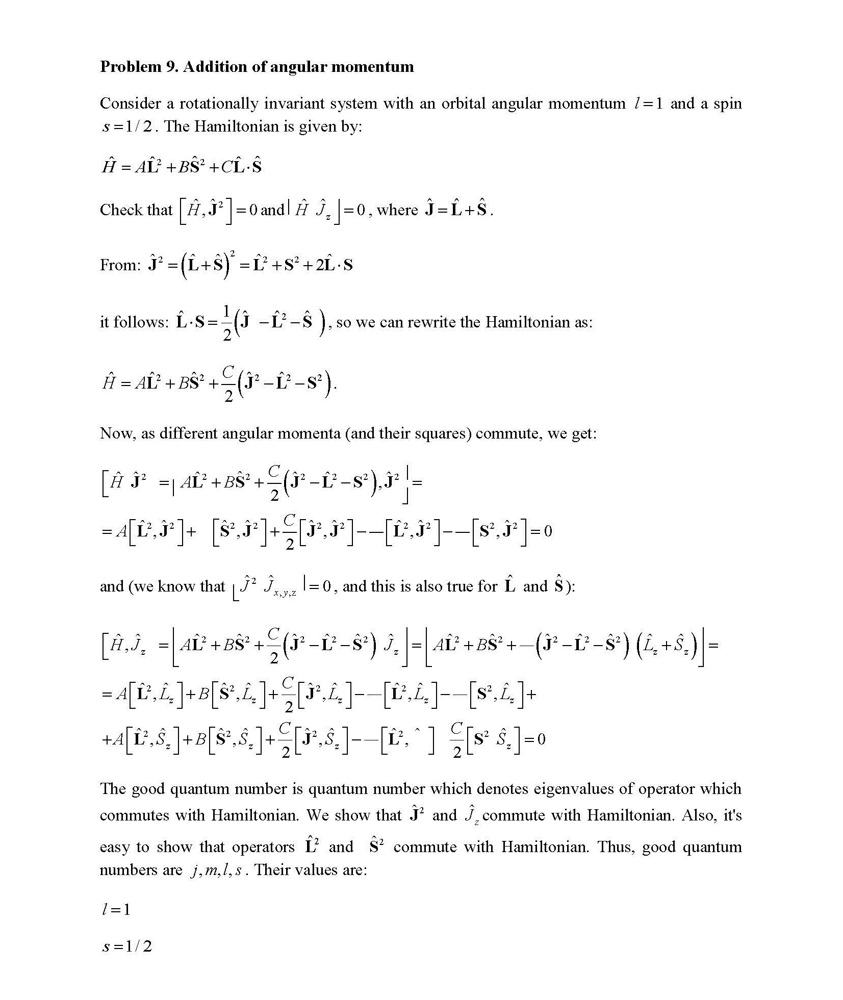
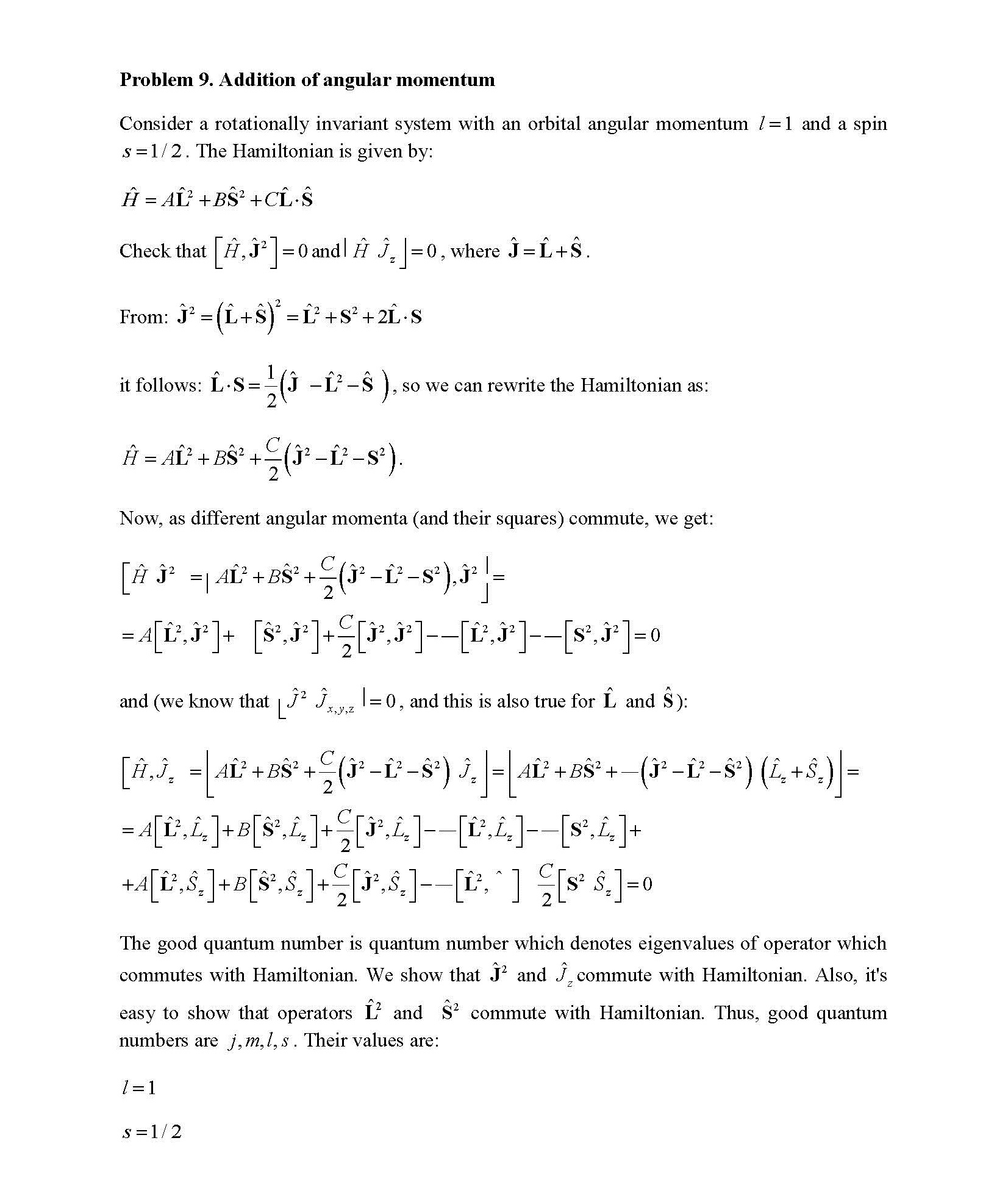
Problem 9 Addition of angular momentum Consider a rotationally in...
Problem 9 Addition of angular momentum Consider a rotationally in...