Subjects
Online Tutoring
Homework Help
Homework Library
Tutors
More
Bookstore
Blog
Technical Tips
FAQ
Contact Us
Get Help Now
Home
Homework Library
Physics
Quantum Physics
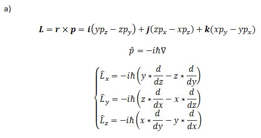
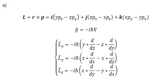
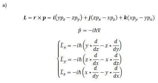
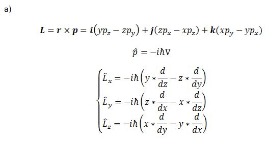
2. (a) Define the angular momentum operator L and its components L...
2. (a) Define the angular momentum operator L and its components L...