Subjects
Online Tutoring
Homework Help
Homework Library
Tutors
Online Classes
More
Bookstore
Blog
Technical Tips
FAQ
Contact Us
Get Help Now
Home
Homework Library
Physics
Quantum Physics
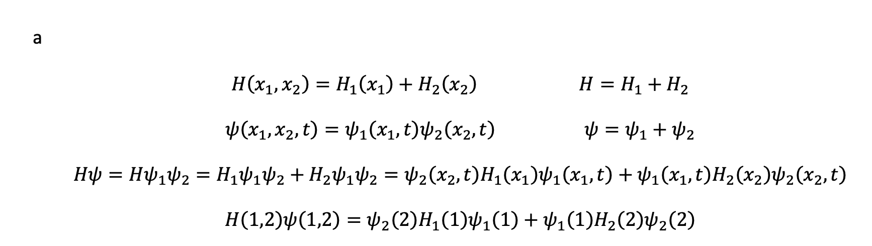
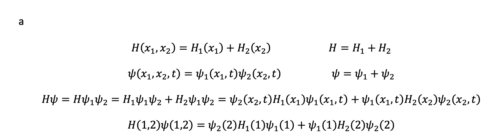
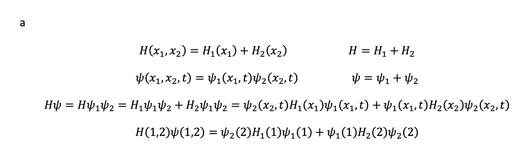
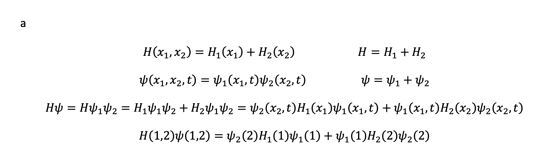
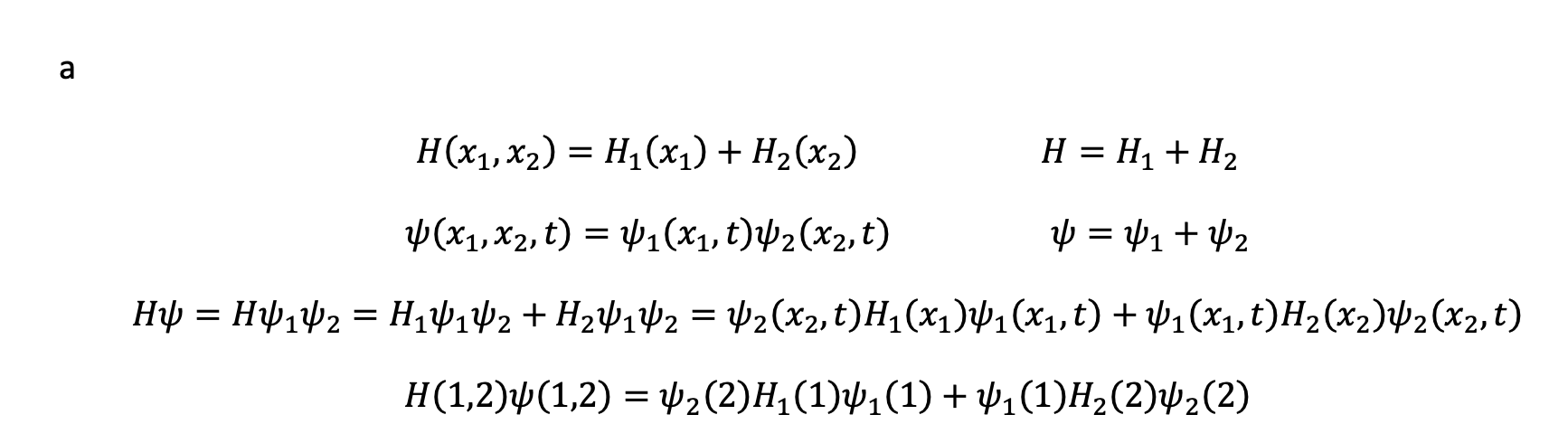
Problem 4 Time-dependent Schrodinger equation is of the form d4 ...
Problem 4 Time-dependent Schrodinger equation is of the form d4...