Subjects
Online Tutoring
Homework Help
Homework Library
Tutors
More
Bookstore
Blog
Technical Tips
FAQ
Contact Us
Get Help Now
Home
Homework Library
Physics
Quantum Physics
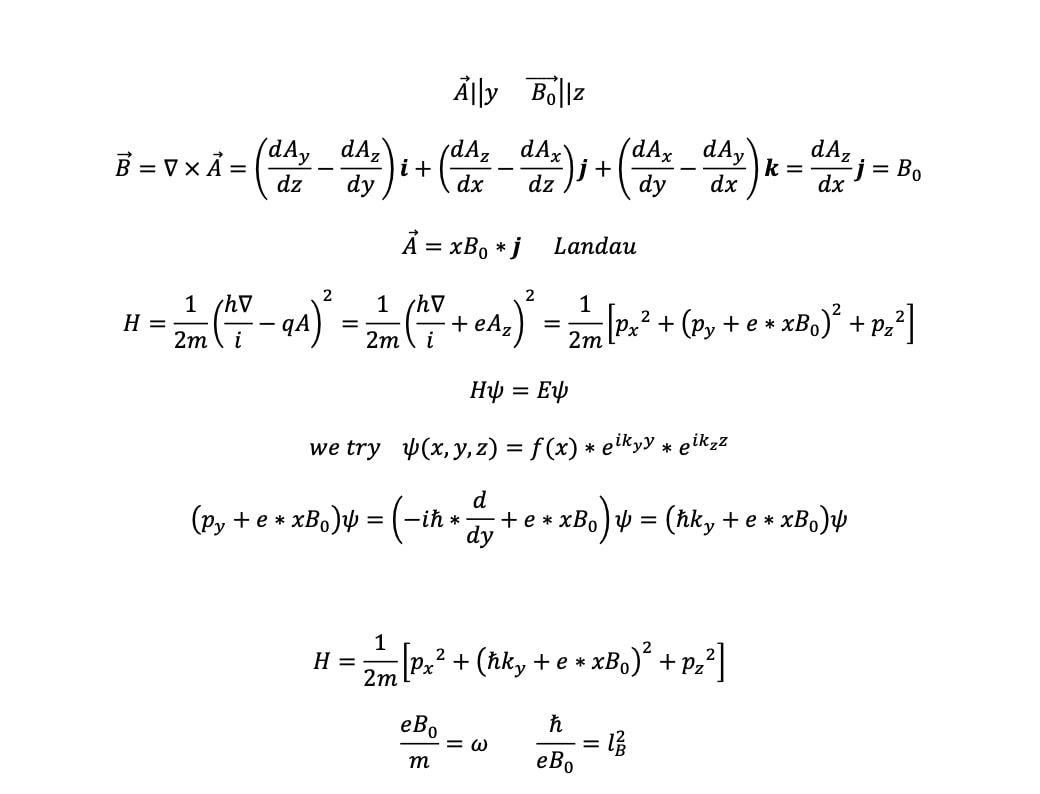
(3) For a spinless particle of charge q and mass m in a uniform mag...
(3) For a spinless particle of charge q and mass m in a uniform mag...