Subjects
Online Tutoring
Homework Help
Homework Library
Tutors
Online Classes
More
Bookstore
Blog
Technical Tips
FAQ
Contact Us
Get Help Now
Home
Homework Library
Physics
Quantum Physics
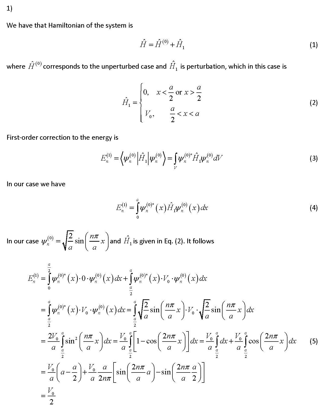
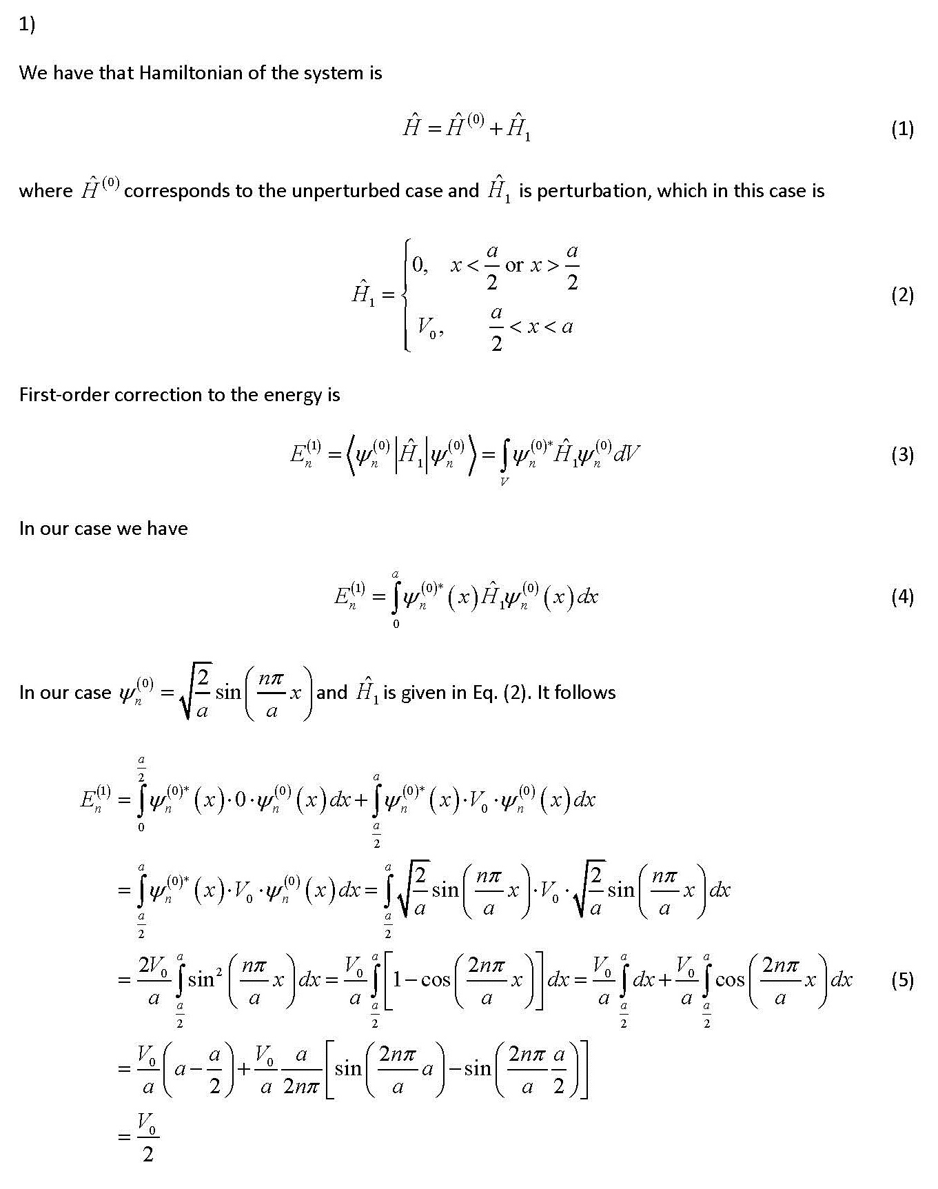
1) Perturbation Theory Recall that for an infinite square well the...
1) Perturbation Theory Recall that for an infinite square well the...