Subjects
Online Tutoring
Homework Help
Homework Library
Tutors
Online Classes
More
Bookstore
Blog
Technical Tips
FAQ
Contact Us
Get Help Now
Home
Homework Library
Physics
Quantum Physics
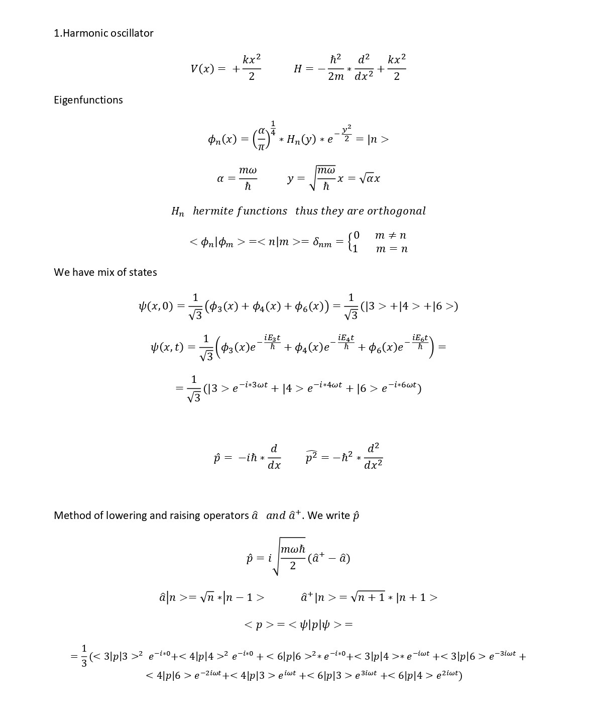
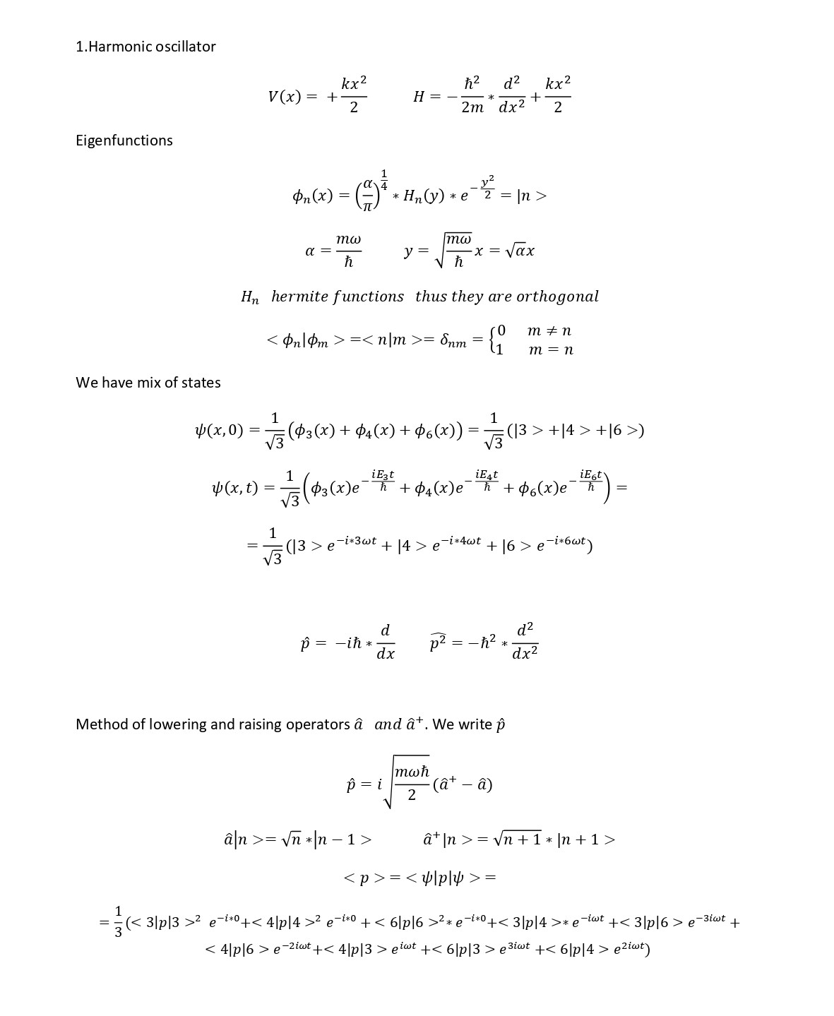
1 A particle of mass m is moving in a harmonic oscillator potentia...
1 A particle of mass m is moving in a harmonic oscillator potentia...