Subjects
Online Tutoring
Homework Help
Homework Library
Tutors
Online Classes
More
Bookstore
Blog
Technical Tips
FAQ
Contact Us
Get Help Now
Home
Homework Library
Physics
Quantum Physics
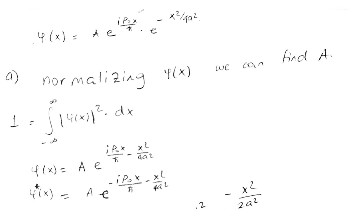
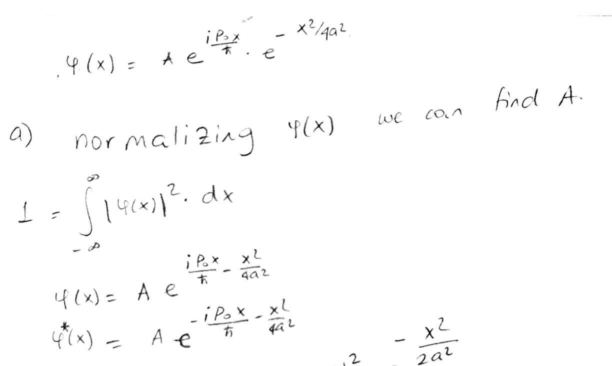
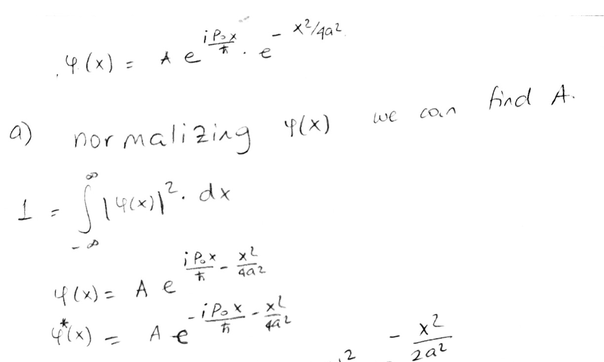
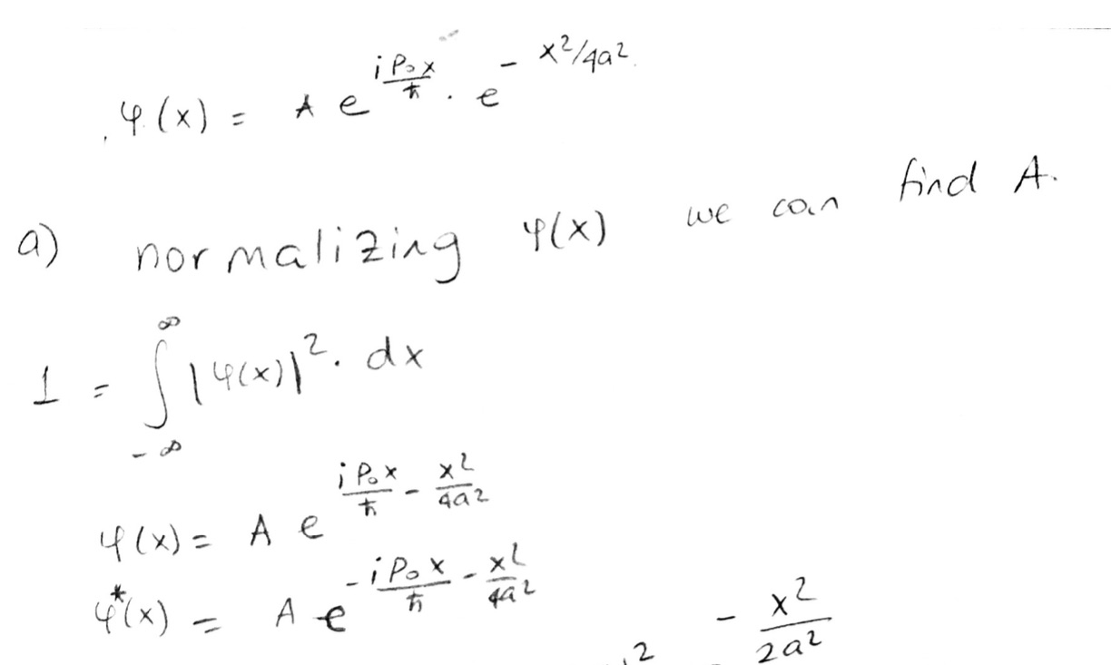
At t=0, a particle is described by the wave function (a) (5 point...
At t=0, a particle is described by the wave function (a) (5 point...