Subjects
Online Tutoring
Homework Help
Homework Library
Tutors
Online Classes
More
Bookstore
Blog
Technical Tips
FAQ
Contact Us
Get Help Now
Home
Homework Library
Physics
Quantum Physics
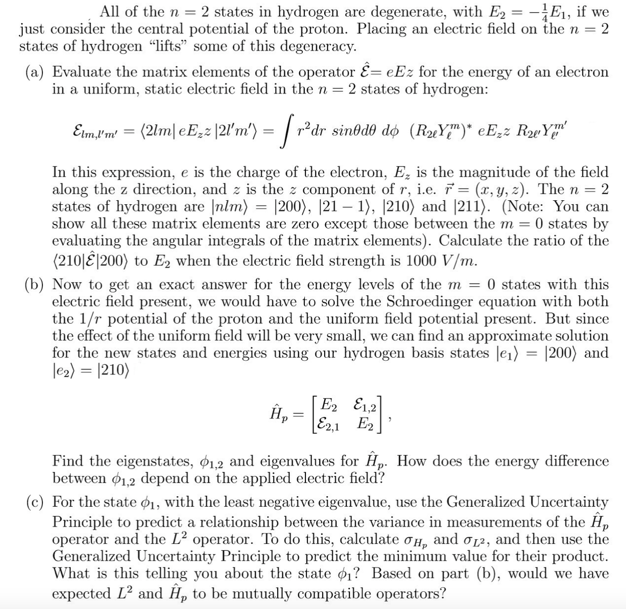
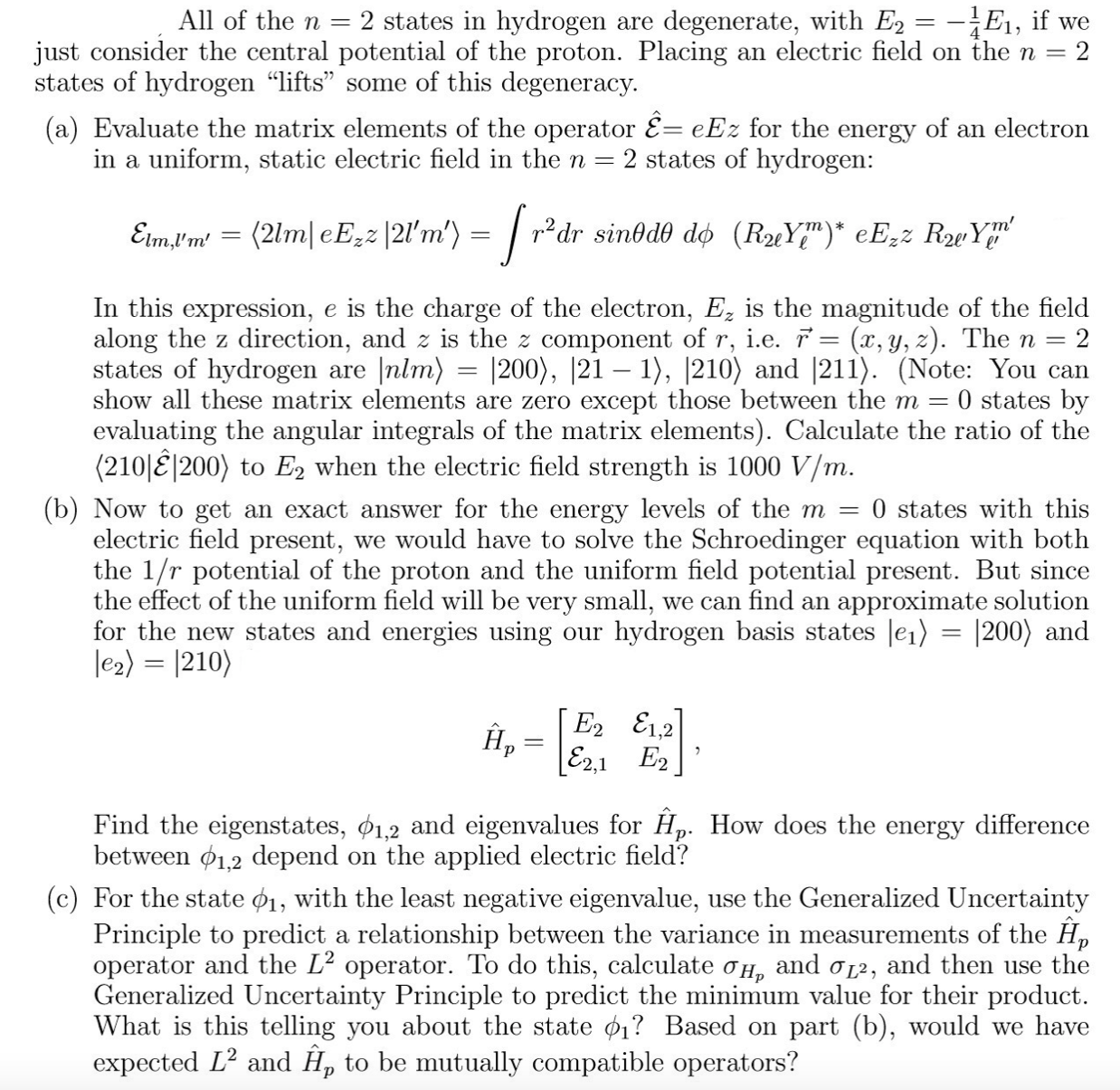
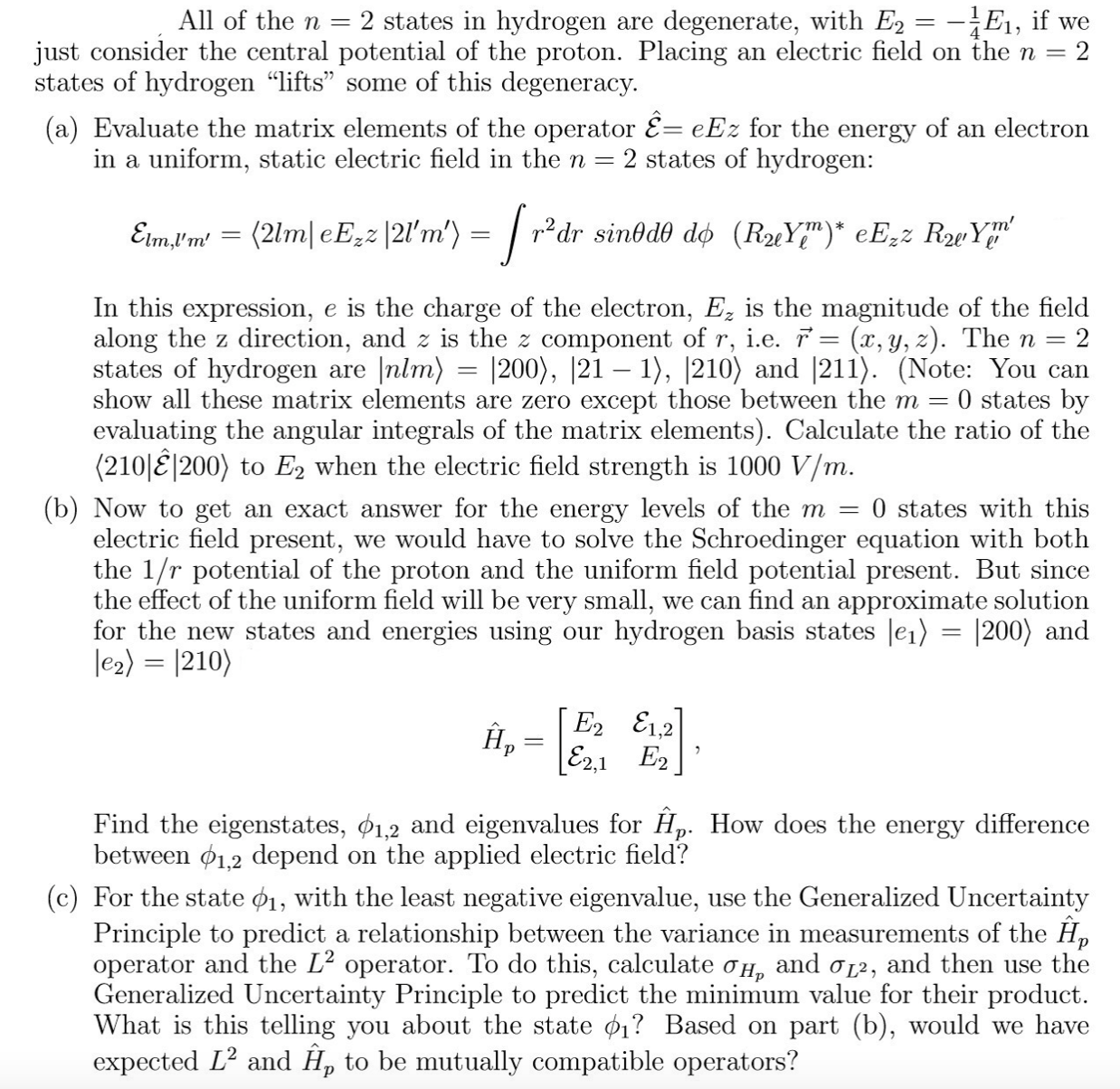
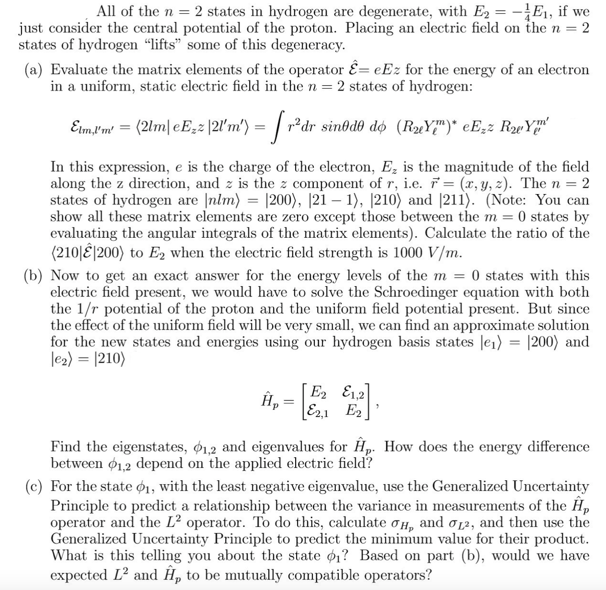
All of the n - 2 states in hydrogen are degenerate, with E2 = 4 1 E...
All of the n - 2 states in hydrogen are degenerate, with E2 = 4 1 E...