Subjects
Online Tutoring
Homework Help
Homework Library
Tutors
Online Classes
More
Bookstore
Blog
Technical Tips
FAQ
Contact Us
Get Help Now
Home
Homework Library
Physics
Thermodynamics
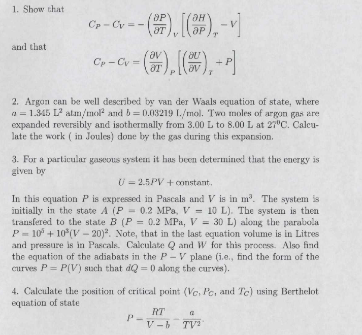
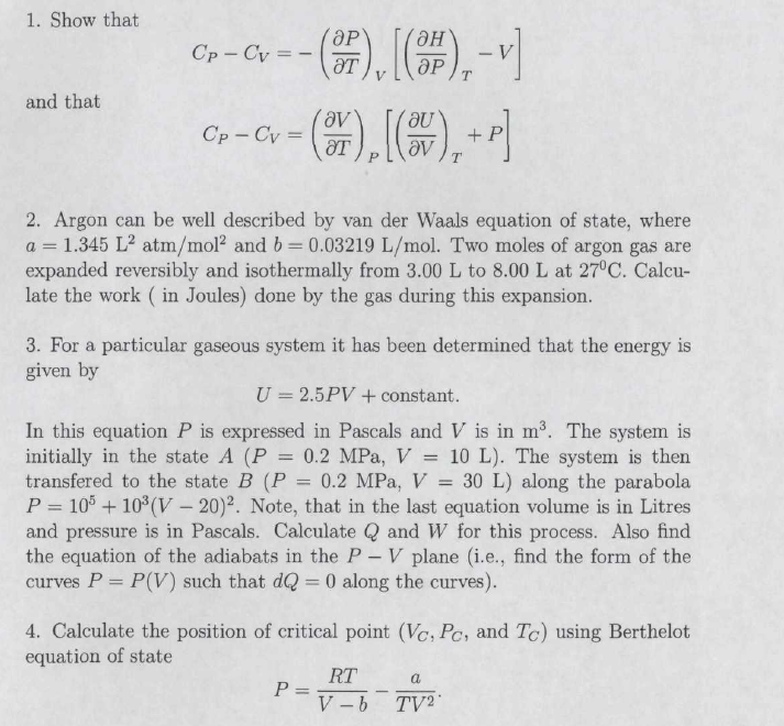
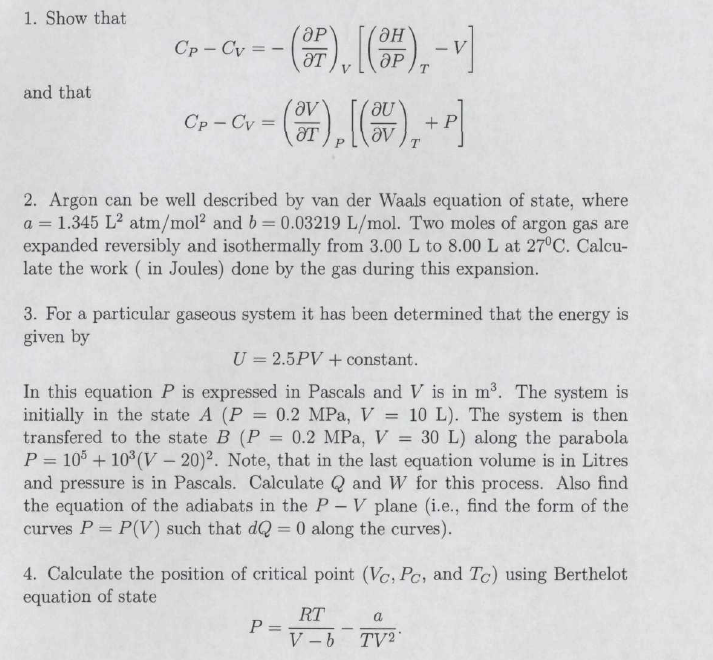
1. Show that - V and that 2. Argon can be well described by van...
1. Show that - V and that 2. Argon can be well described by van...