Subjects
Online Tutoring
Homework Help
Homework Library
Tutors
Online Classes
More
Bookstore
Blog
Technical Tips
FAQ
Contact Us
Get Help Now
Home
Homework Library
Physics
Thermodynamics
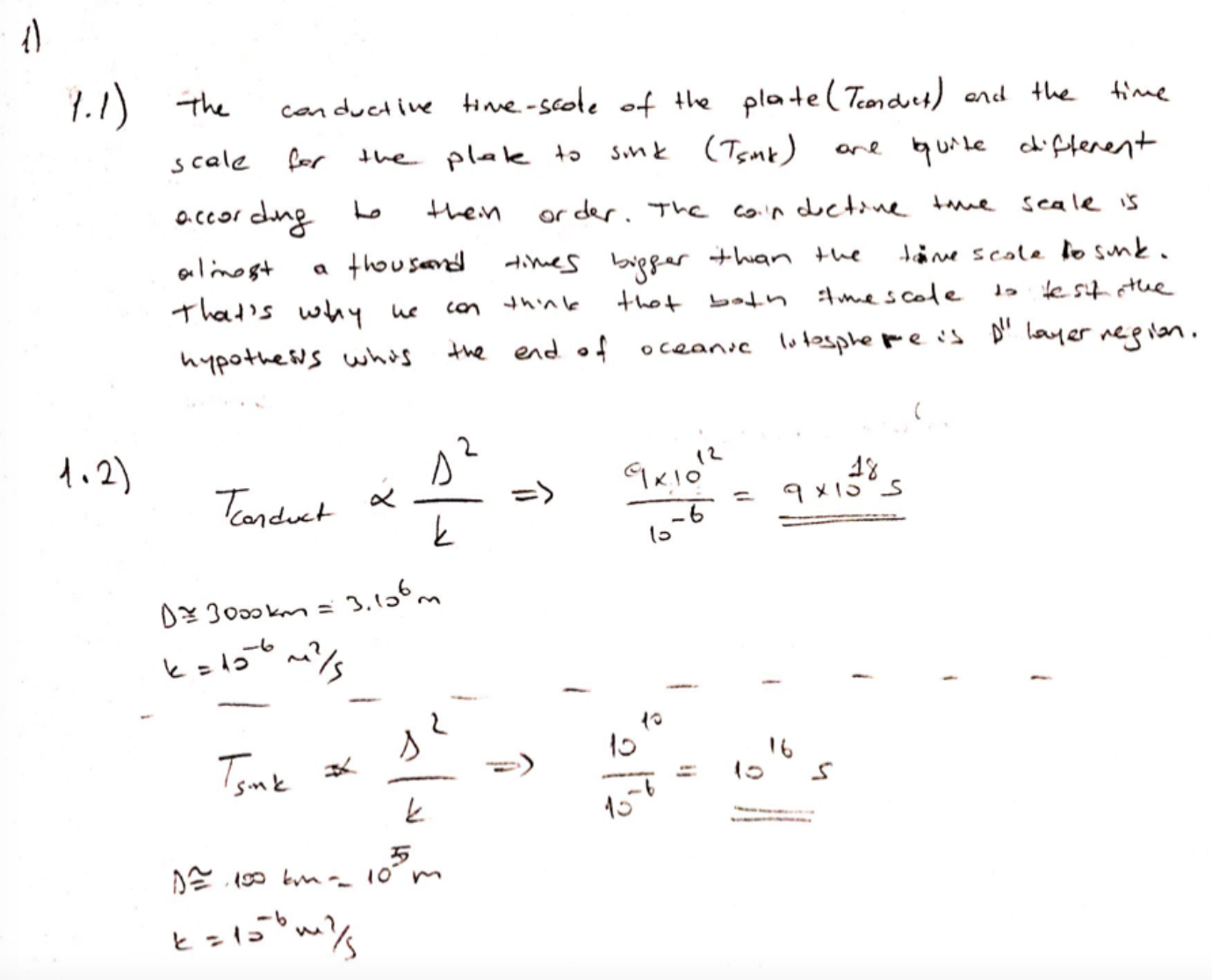
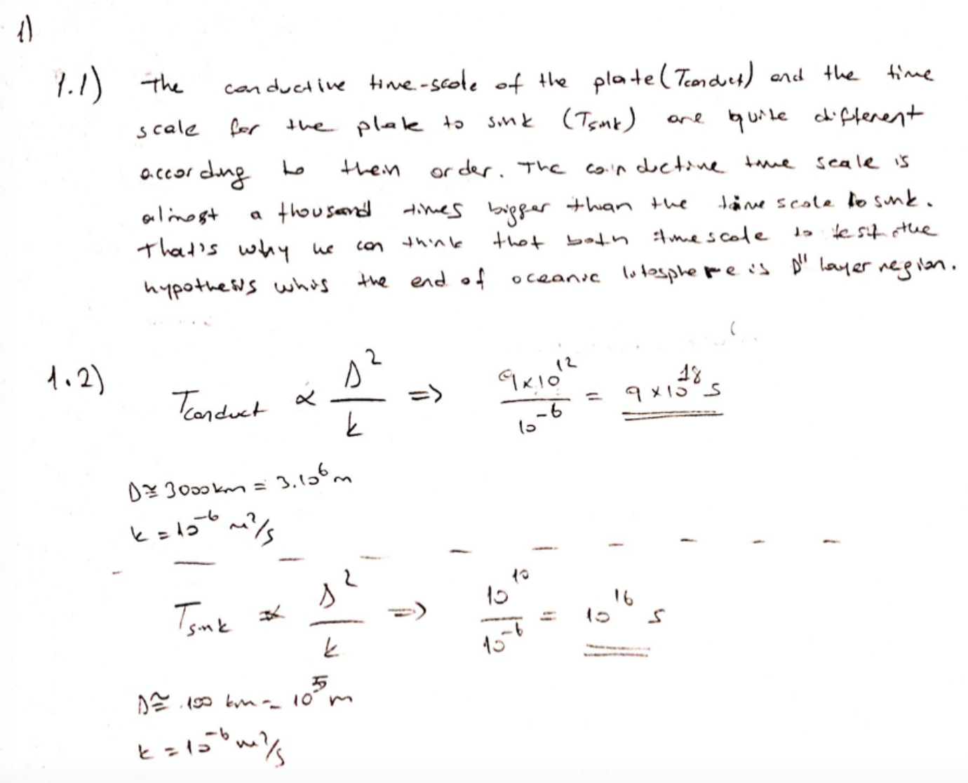
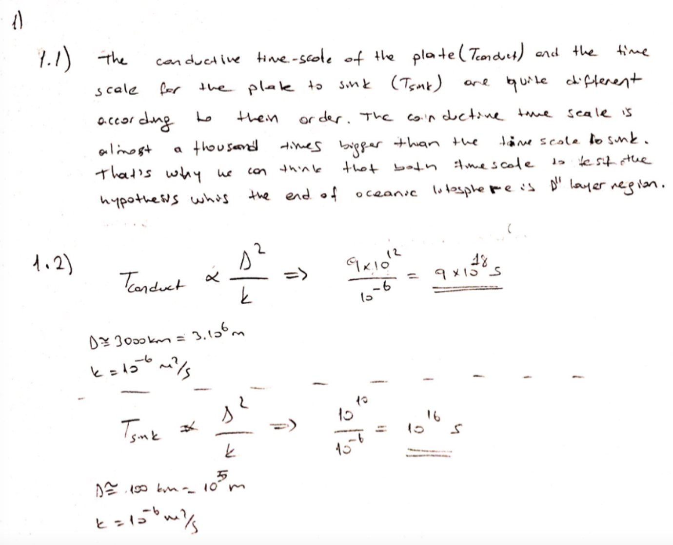
1 D" layer region: slab graveyard The D" region (a high...
1 D" layer region: slab graveyard The D" region (a high...