Subjects
Online Tutoring
Homework Help
Homework Library
Tutors
Online Classes
More
Bookstore
Blog
Technical Tips
FAQ
Contact Us
Get Help Now
Home
Homework Library
Physics
Thermodynamics
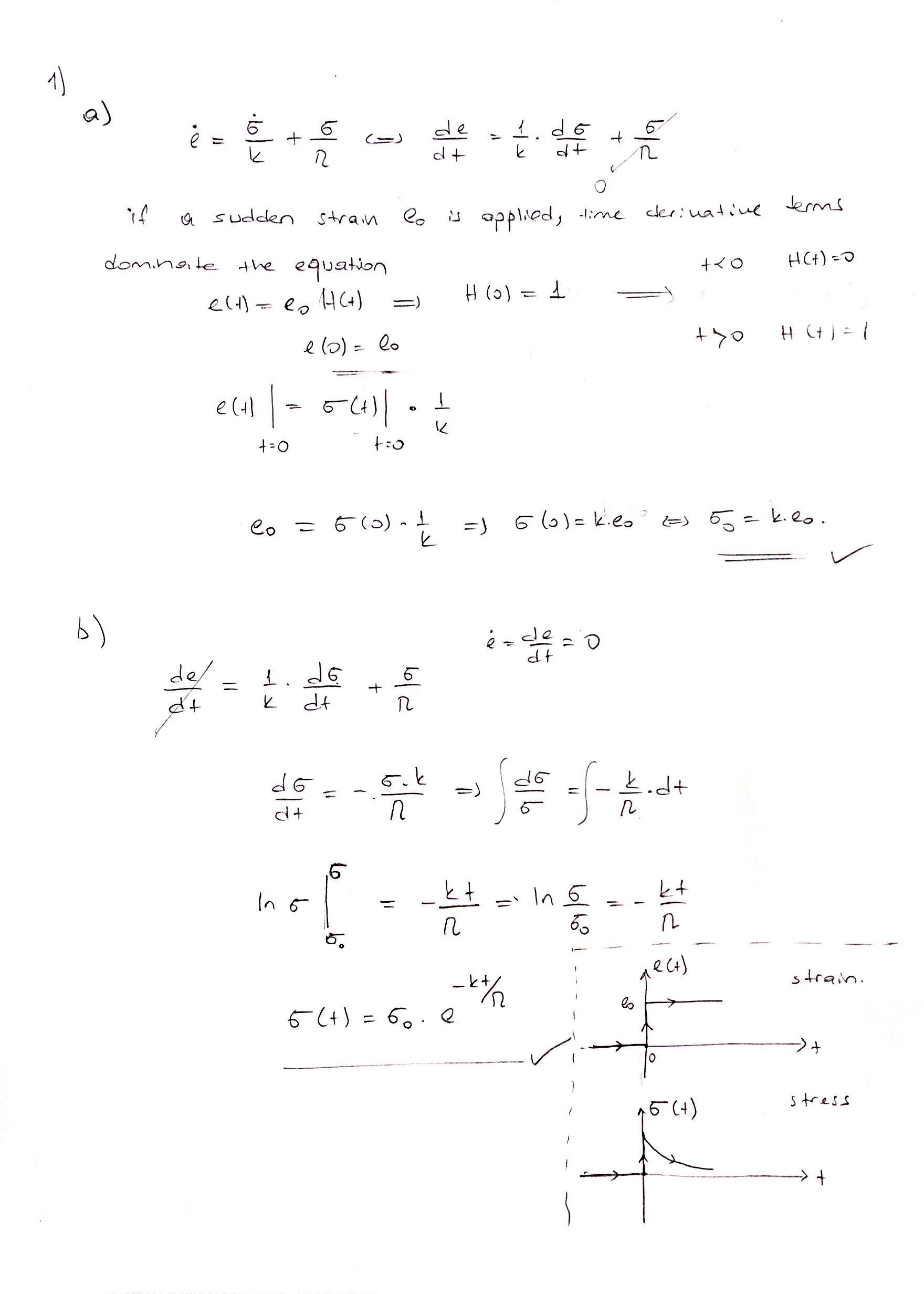
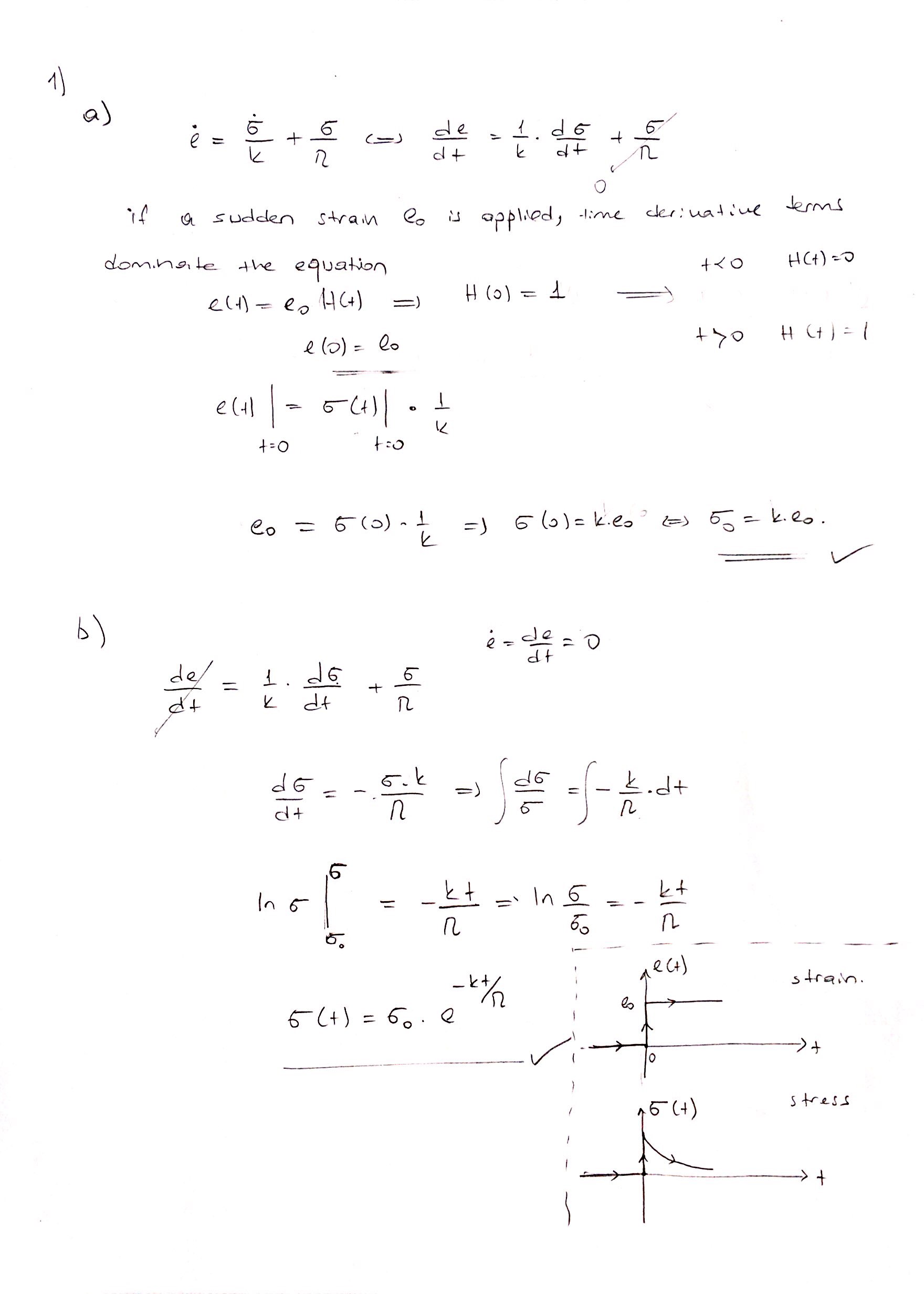
1 Maxwell visco-elastic body (2 pts) Consider the Maxwell visco-e...
1 Maxwell visco-elastic body (2 pts) Consider the Maxwell visco-e...