Subjects
Online Tutoring
Homework Help
Homework Library
Tutors
Online Classes
More
Bookstore
Blog
Technical Tips
FAQ
Contact Us
Get Help Now
Home
Homework Library
Physics
Thermodynamics
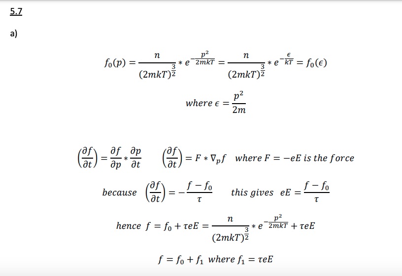
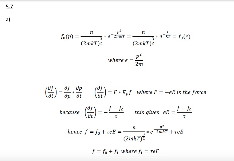
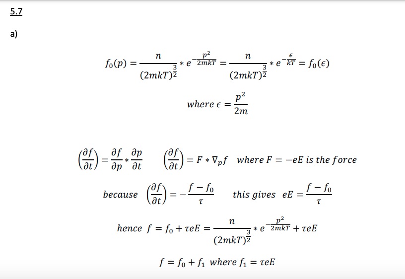
5.7 A dilute gas, infinite in extension and composed of charged mol...
5.7 A dilute gas, infinite in extension and composed of charged mol...