Subjects
Online Tutoring
Homework Help
Homework Library
Tutors
Online Classes
More
Bookstore
Blog
Technical Tips
FAQ
Contact Us
Get Help Now
Home
Homework Library
Physics
Thermodynamics
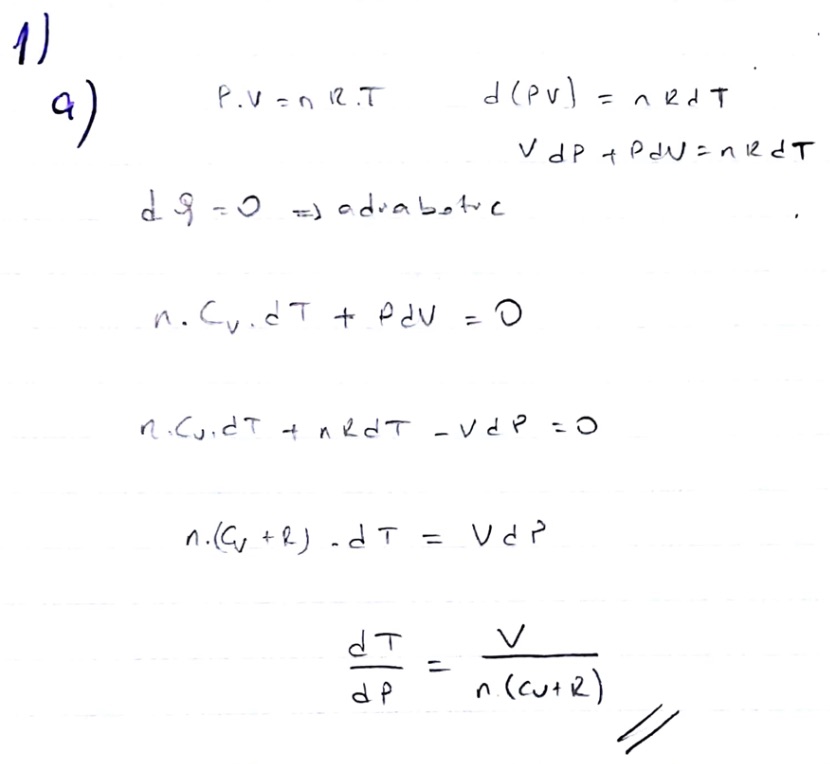
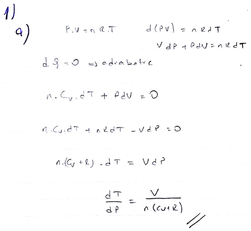
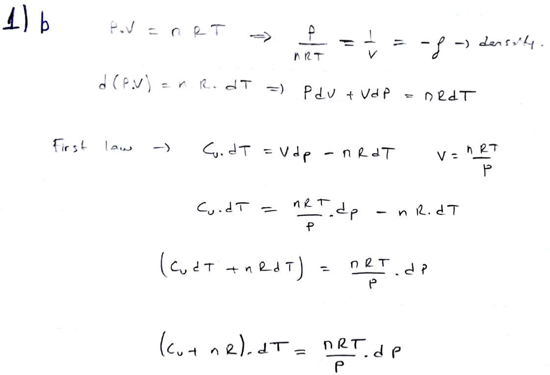
1. For a parcel of dry air ascends adiabatically, (a) Derive dT / ...
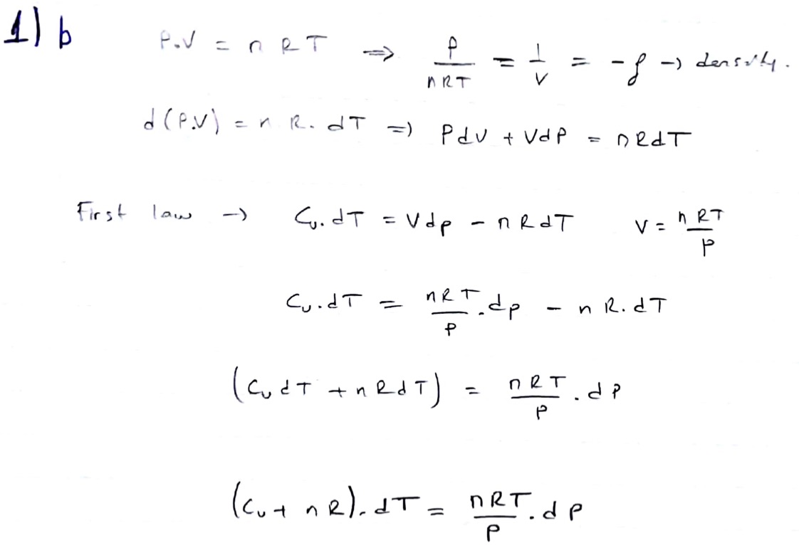
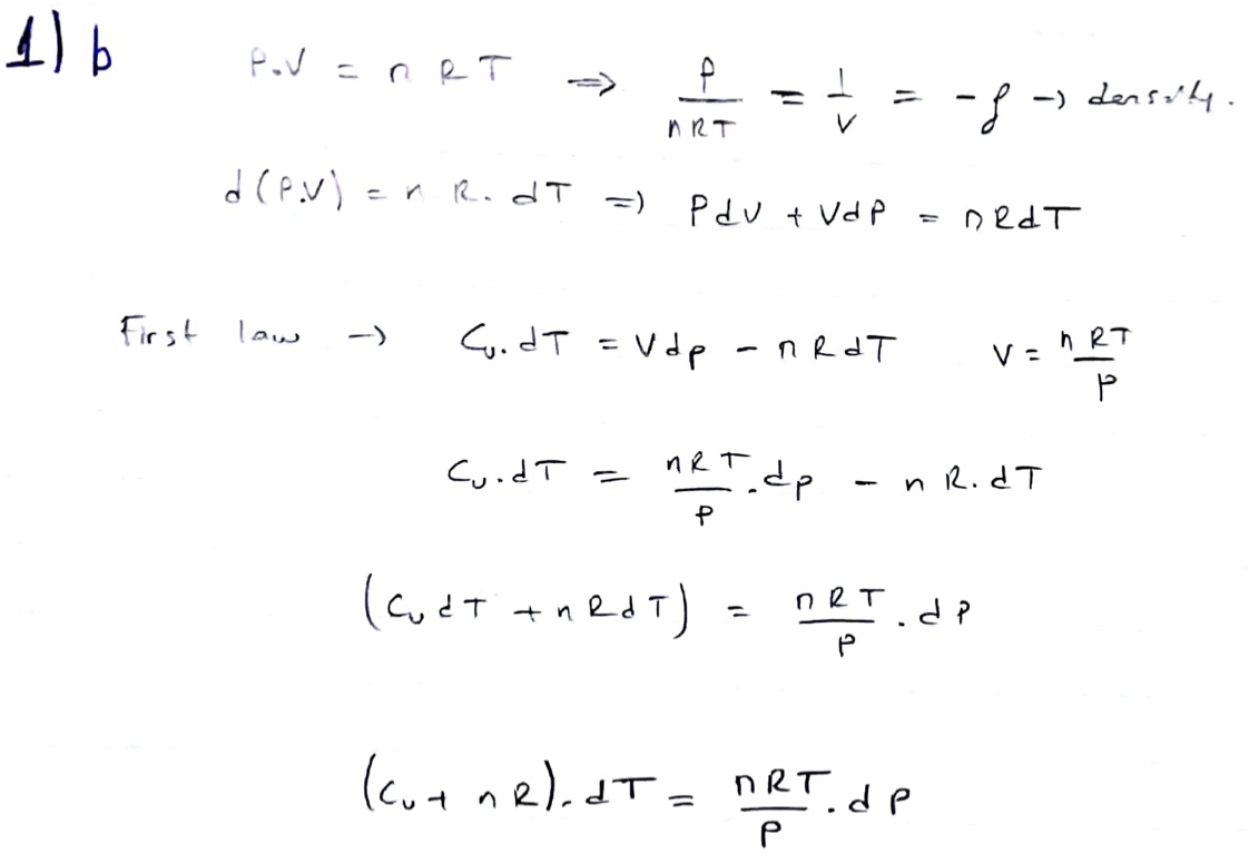
1. For a parcel of dry air ascends adiabatically, (a) Derive dT /...