Subjects
Online Tutoring
Homework Help
Homework Library
Tutors
Online Classes
More
Bookstore
Blog
Technical Tips
FAQ
Contact Us
Get Help Now
Home
Homework Library
Physics
Thermodynamics
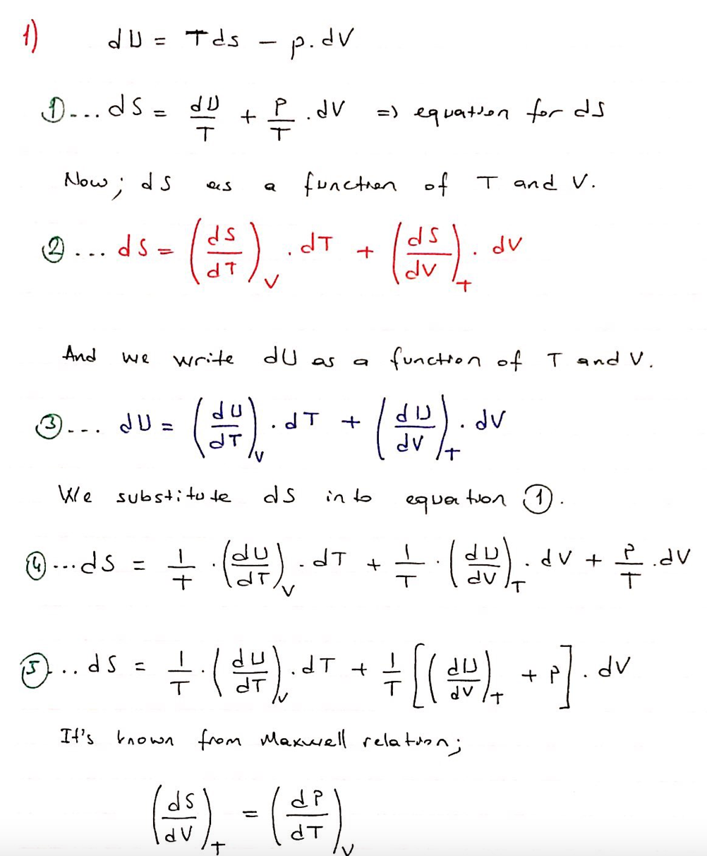
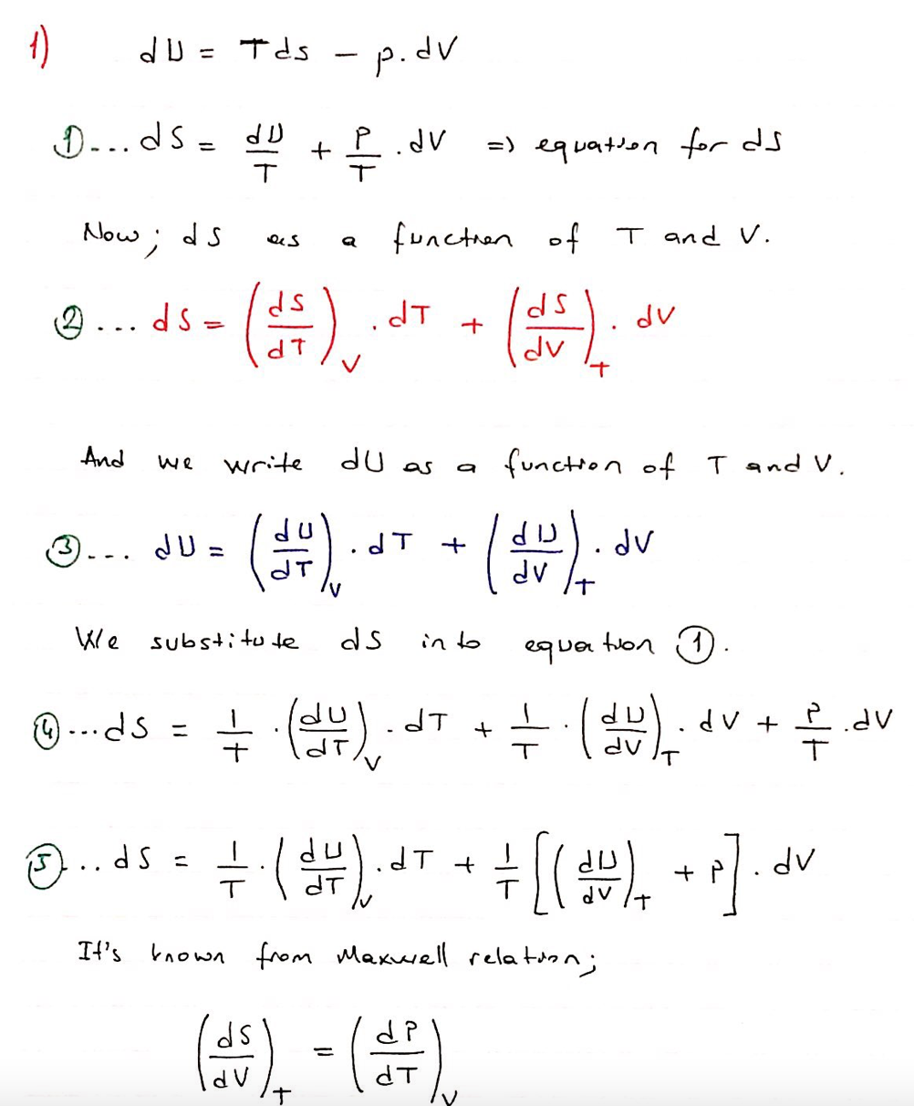
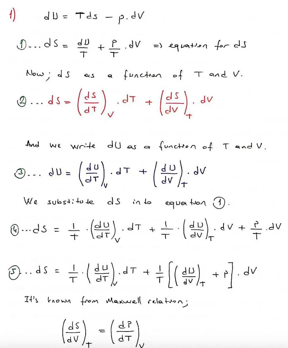
1. Derive the thermodynamic equation of state in internal energy fo...
1. Derive the thermodynamic equation of state in internal energy fo...