Subjects
Online Tutoring
Homework Help
Homework Library
Tutors
More
Bookstore
Blog
Technical Tips
FAQ
Contact Us
Get Help Now
Home
Homework Library
Physics
Thermodynamics
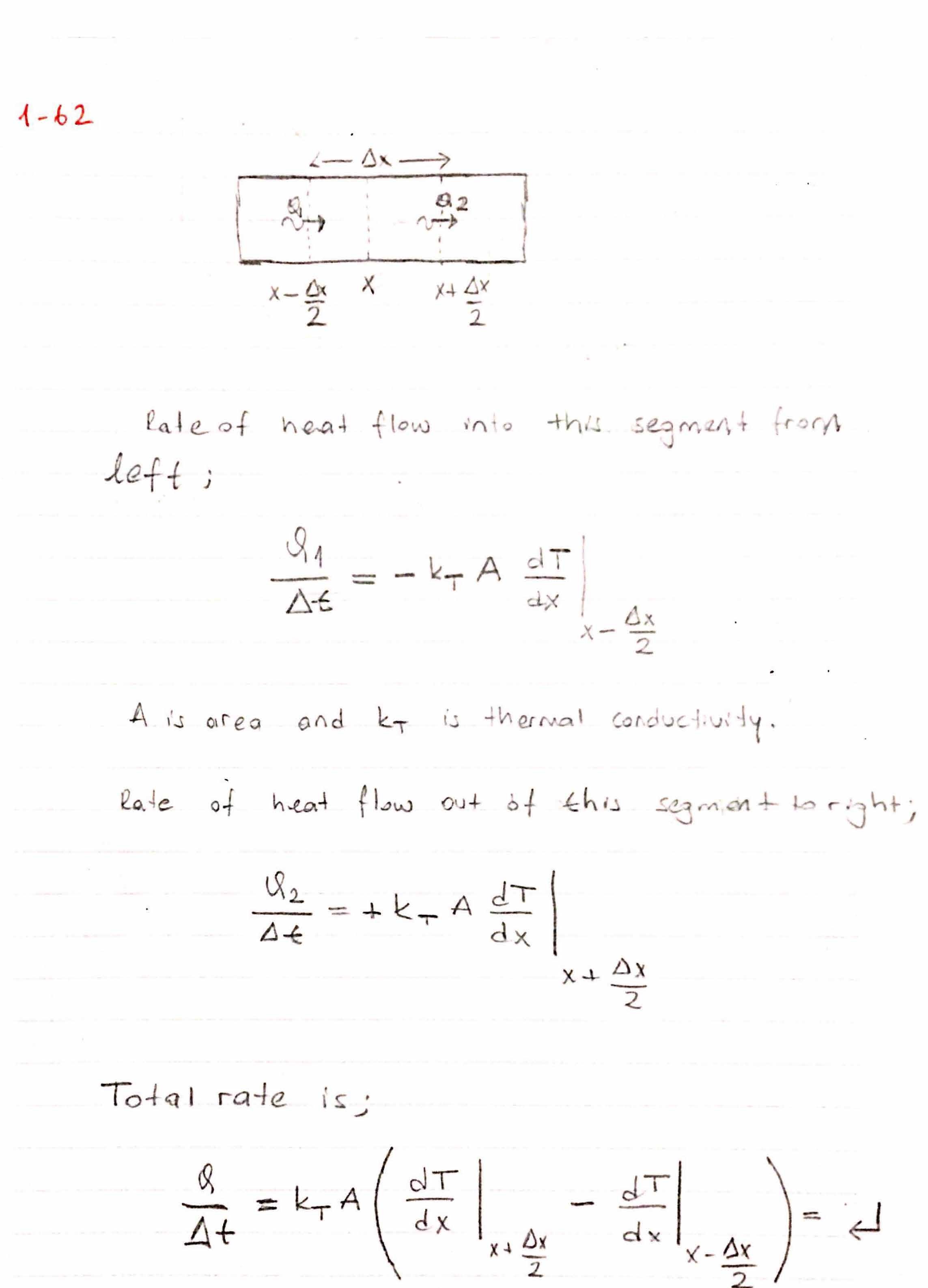
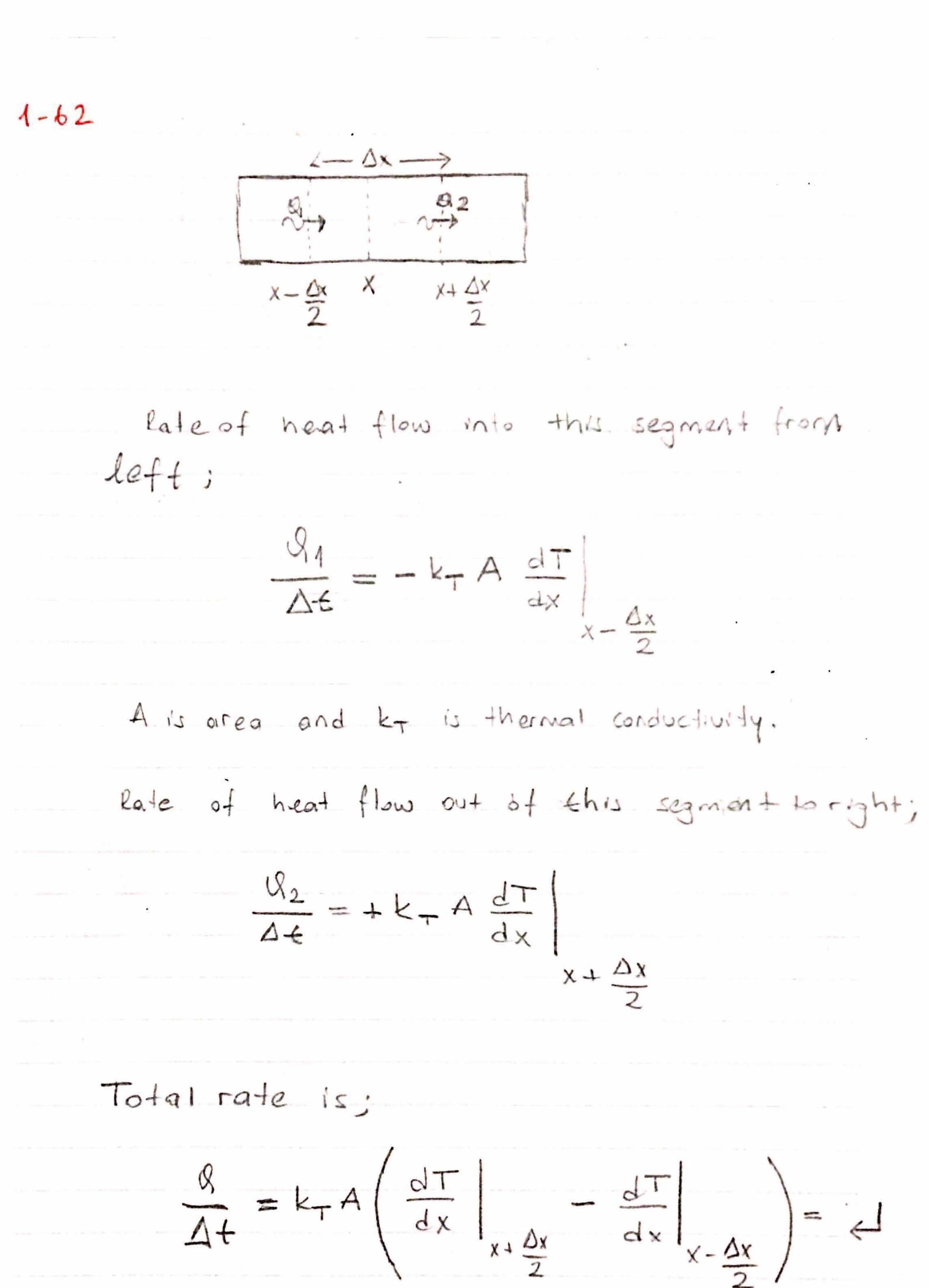
ce Problem 1.62. Consider a uniform rod of material whose temperat...
ce Problem 1.62. Consider a uniform rod of material whose temperat...