Subjects
Online Tutoring
Homework Help
Homework Library
Tutors
Online Classes
More
Bookstore
Blog
Technical Tips
FAQ
Contact Us
Get Help Now
Home
Homework Library
Physics
Thermodynamics
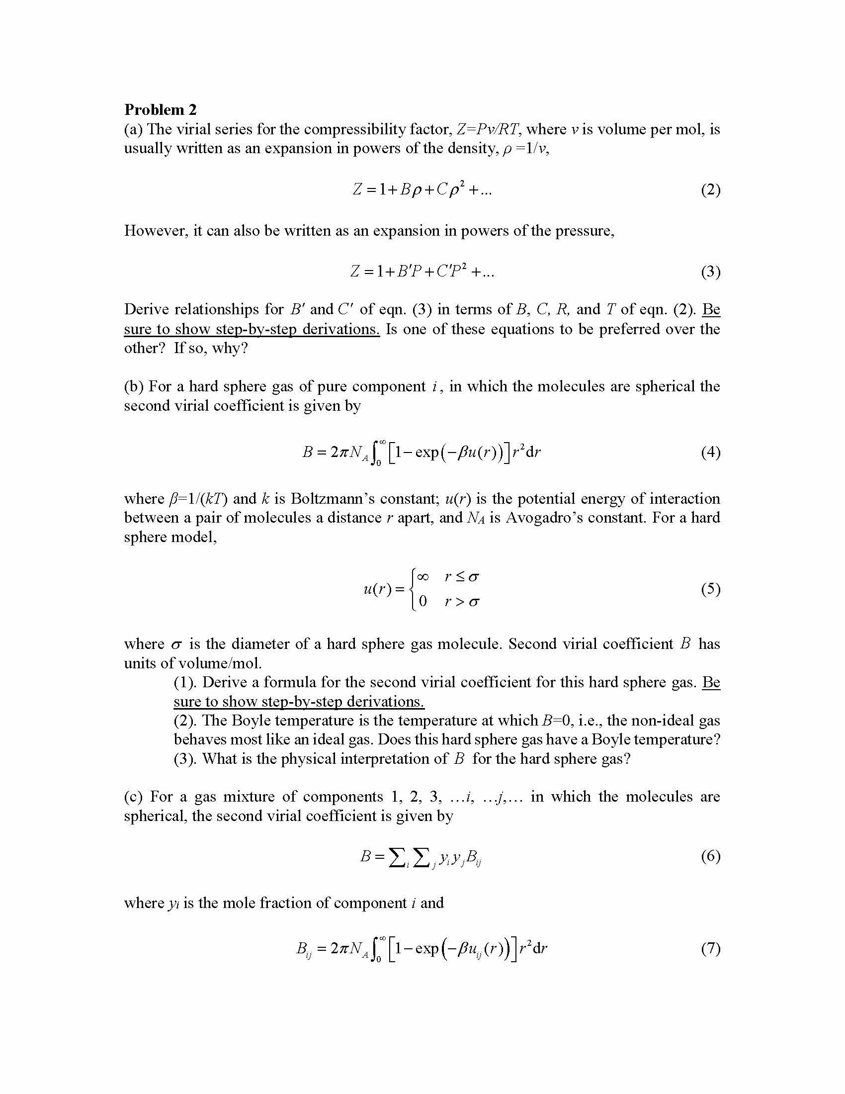
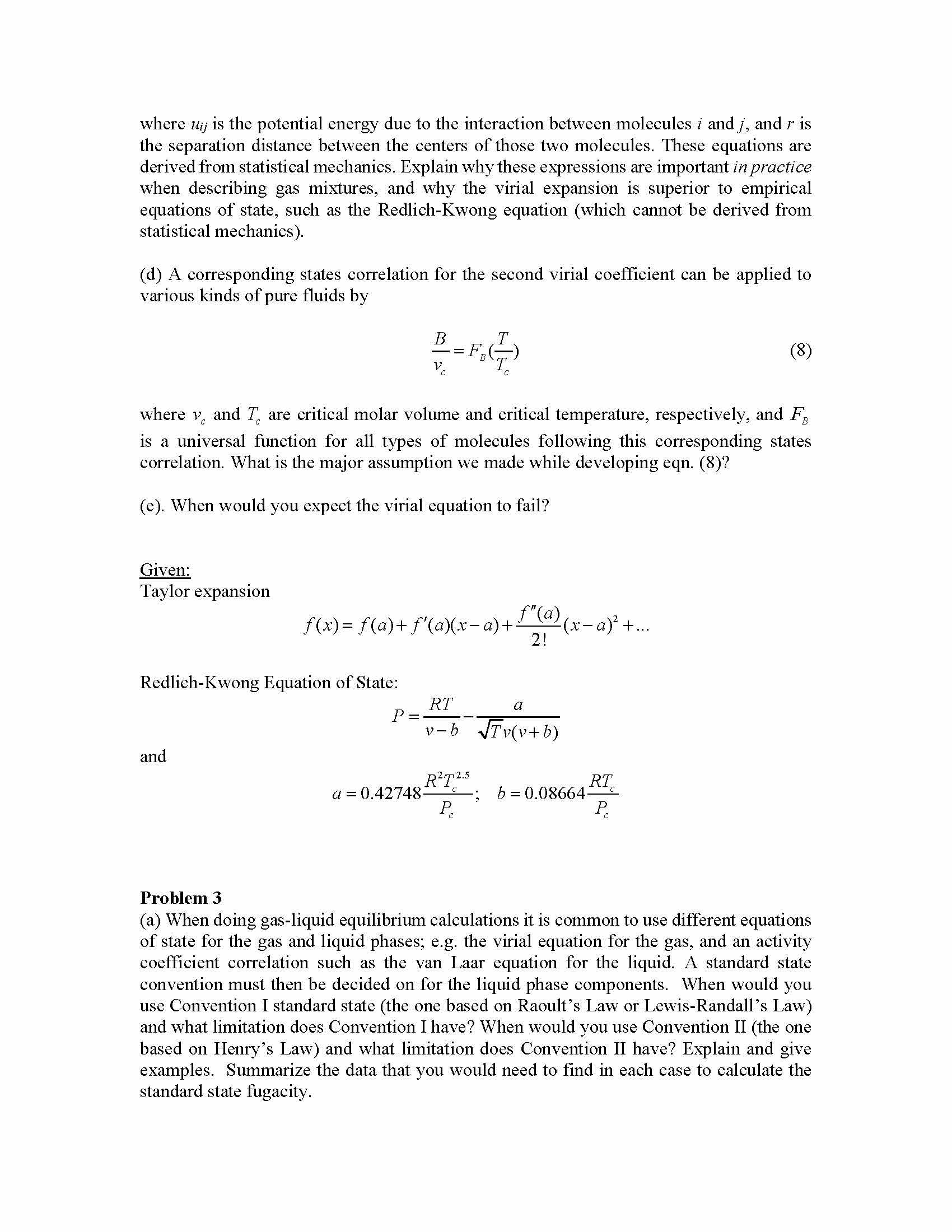
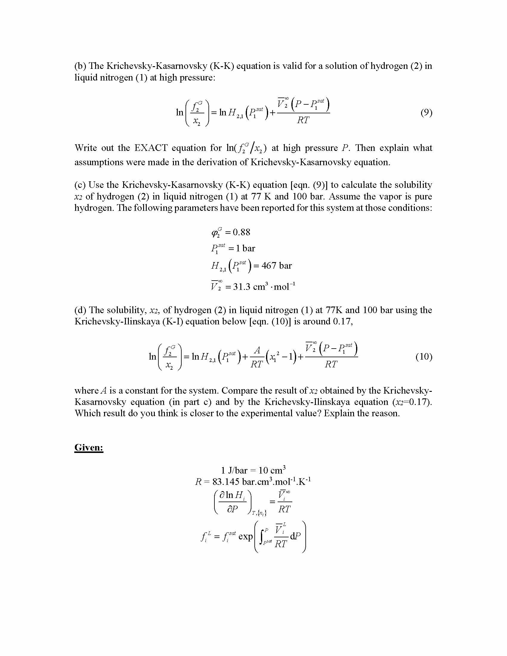
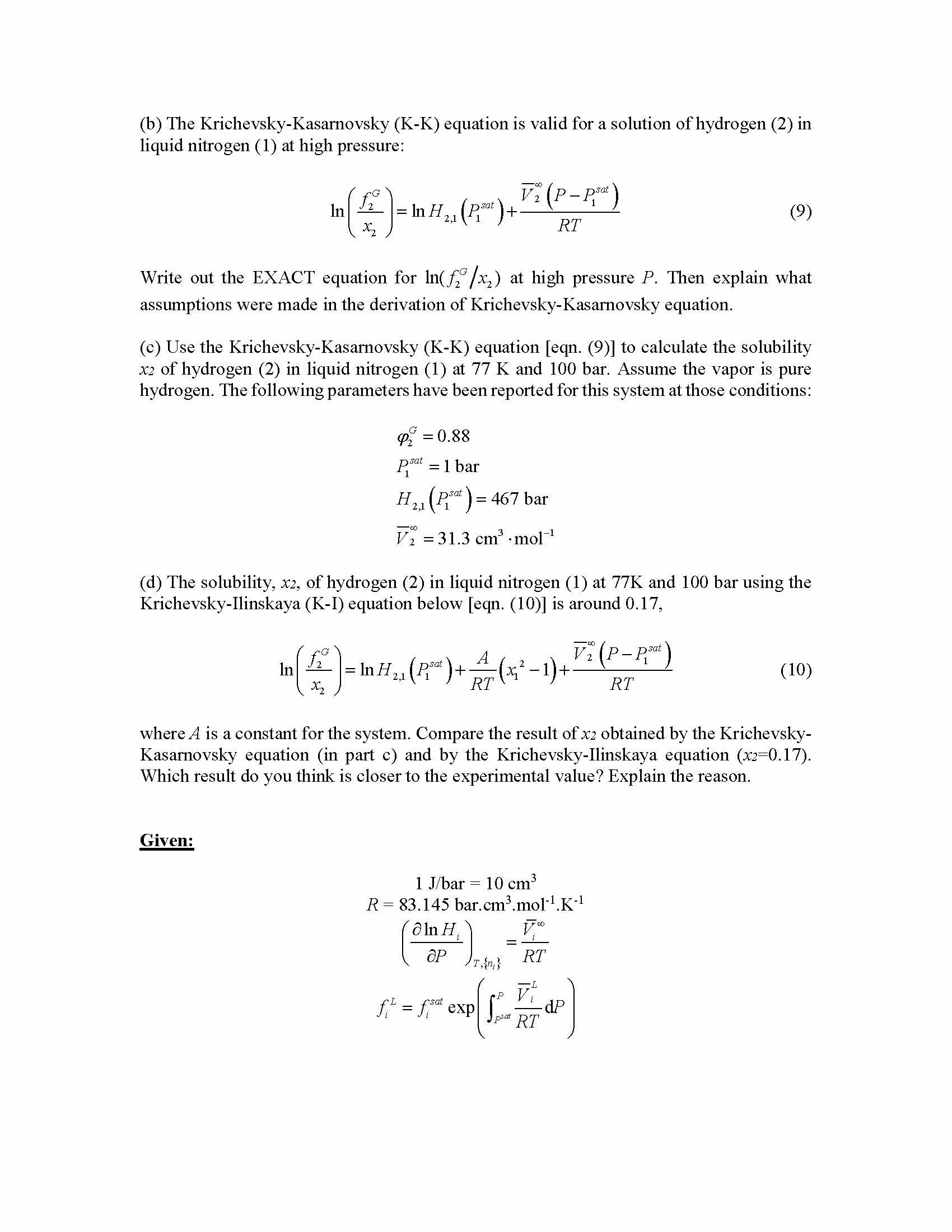
Problem You have a beaker filled with an eresting suspension fnano...
Problem You have a beaker filled with an eresting suspension fnano...