Subjects
Online Tutoring
Homework Help
Homework Library
Tutors
Online Classes
More
Bookstore
Blog
Technical Tips
FAQ
Contact Us
Get Help Now
Home
Homework Library
Physics
Thermodynamics
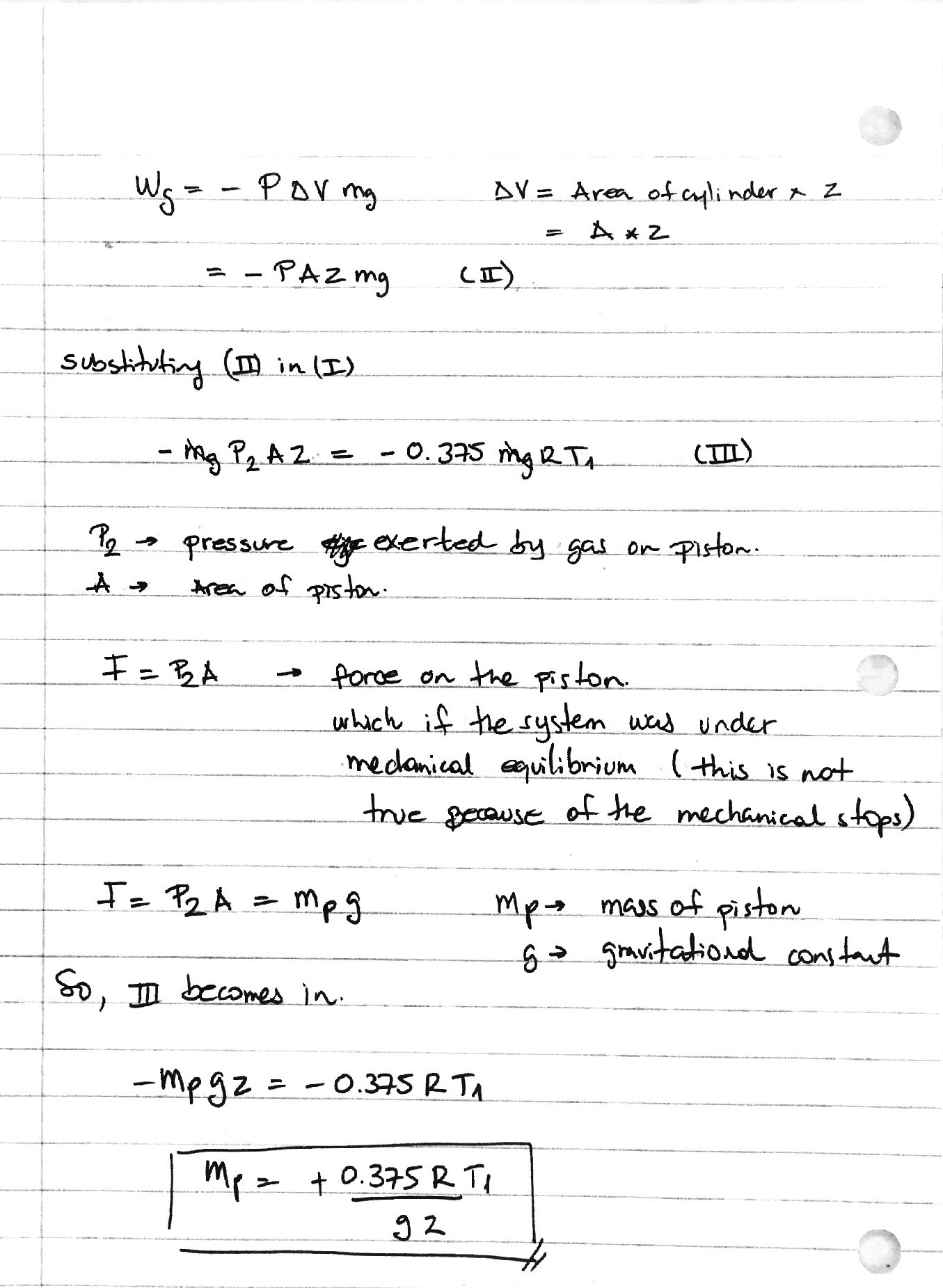
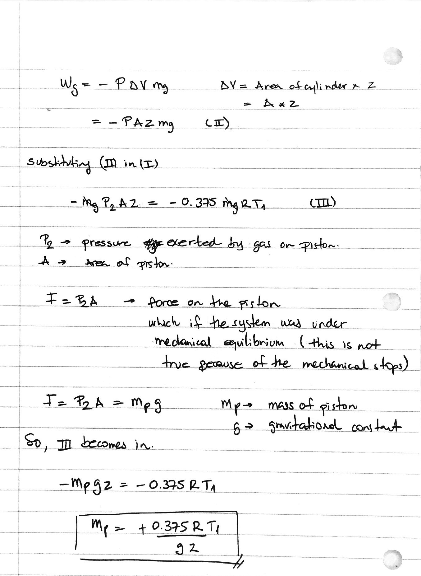
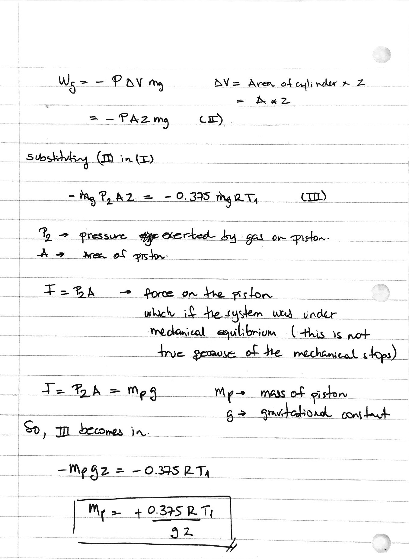
1. [40 points] An insulated piston and cylinder assembly contains a...
1. [40 points] An insulated piston and cylinder assembly contains a...