Subjects
Online Tutoring
Homework Help
Homework Library
Tutors
Online Classes
More
Bookstore
Blog
Technical Tips
FAQ
Contact Us
Get Help Now
Home
Homework Library
Physics
Thermodynamics
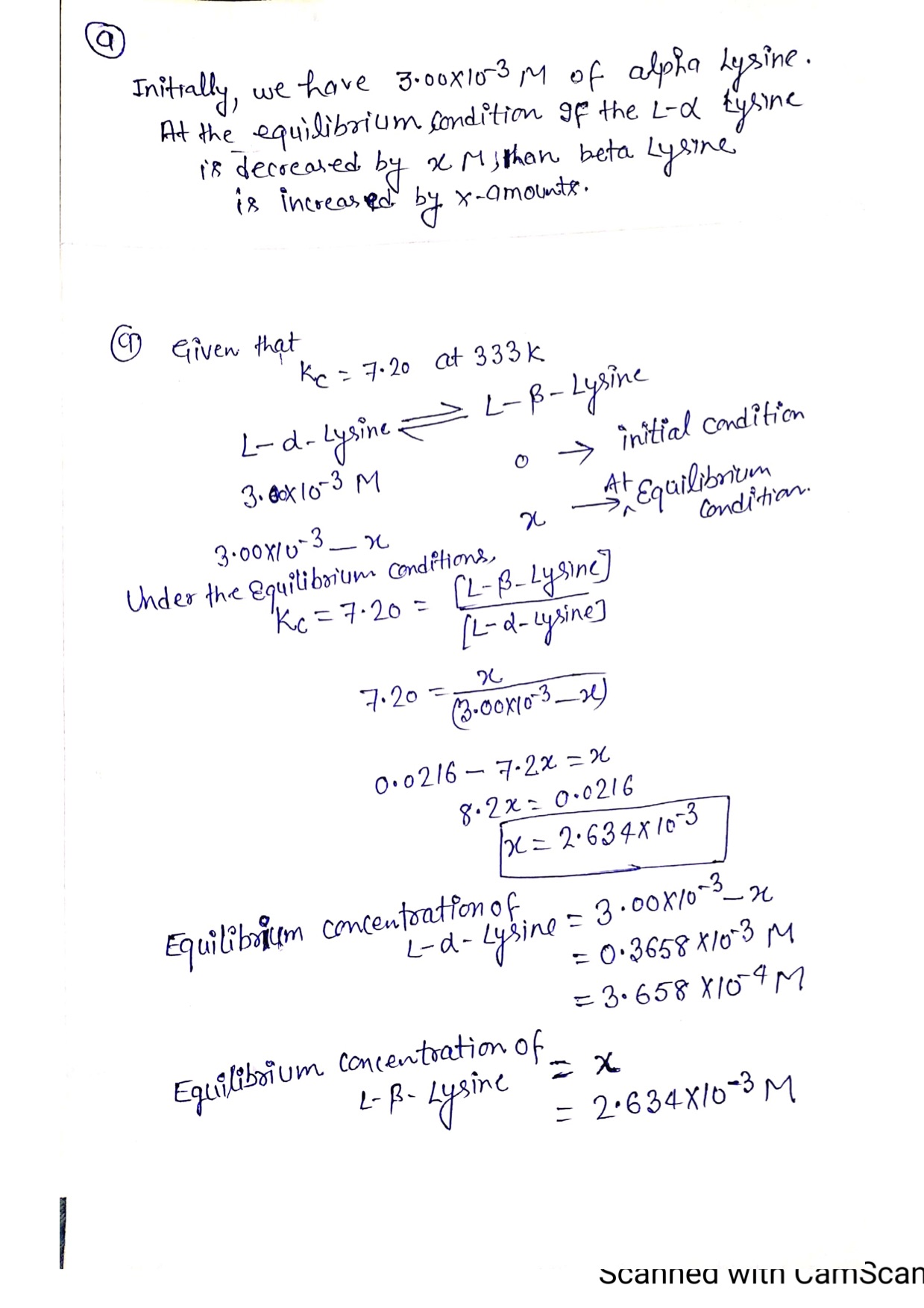
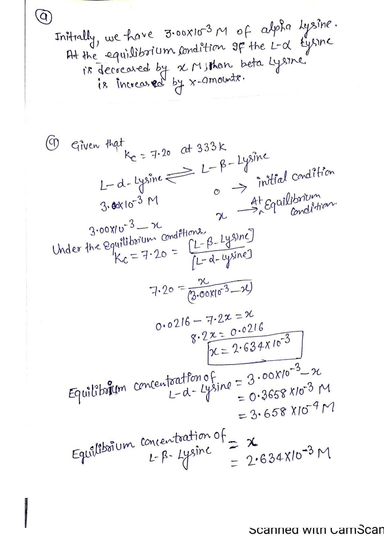
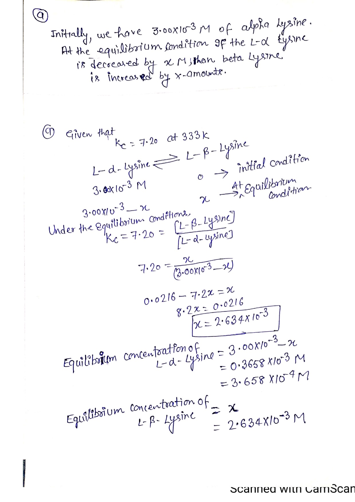
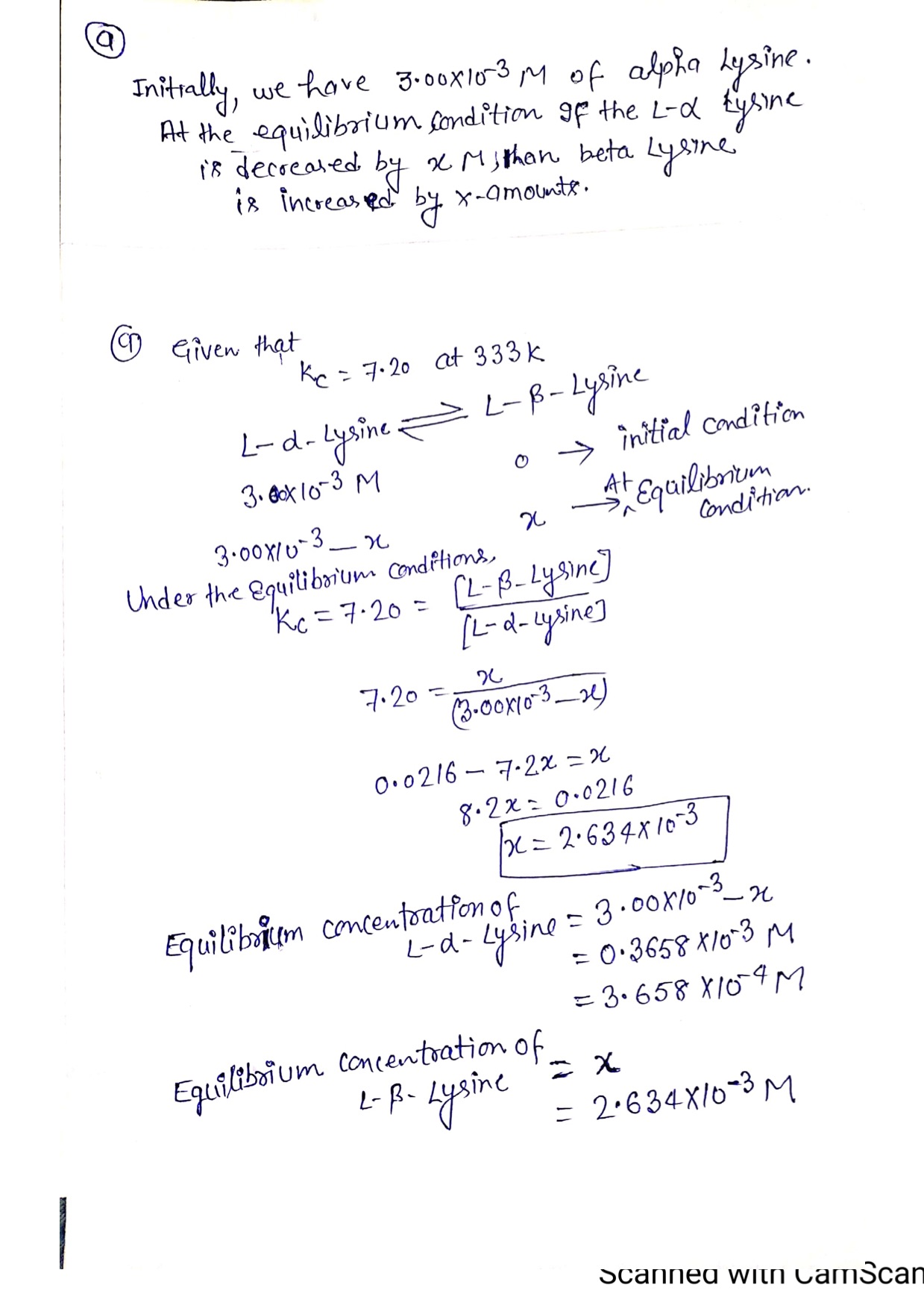
(a) The interconversion of L-α-lysine and L-β-lysine, for whi...
(a) The interconversion of L-α-lysine and L-β-lysine, for which K...