Subjects
Online Tutoring
Homework Help
Homework Library
Tutors
More
Bookstore
Blog
Technical Tips
FAQ
Contact Us
Get Help Now
Home
Homework Library
Physics
Thermodynamics
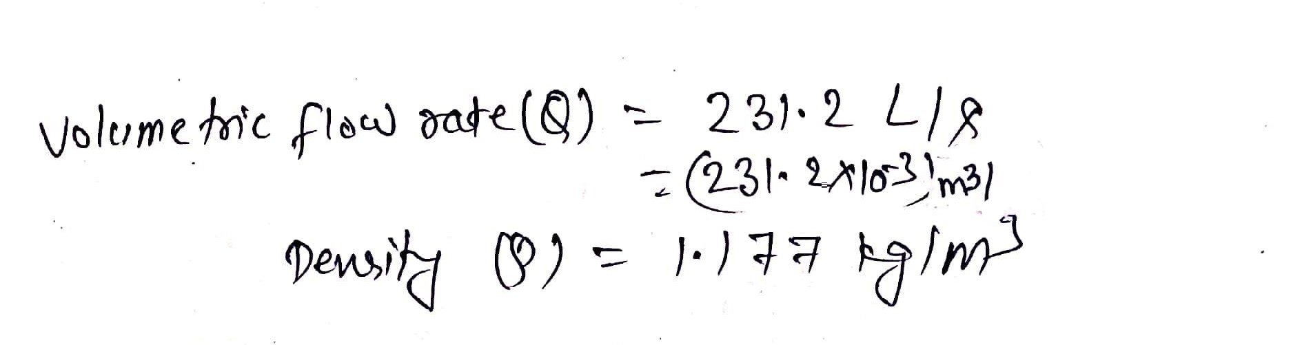
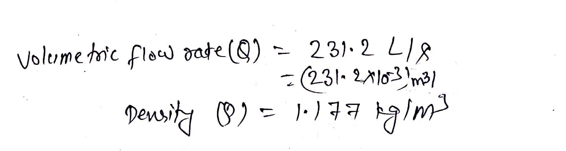
Question: The ventilating fan of the bathroom has a volumetric flow...
Question: The ventilating fan of the bathroom has a volumetric flow...