Subjects
Online Tutoring
Homework Help
Homework Library
Tutors
Online Classes
More
Bookstore
Blog
Technical Tips
FAQ
Contact Us
Get Help Now
Home
Homework Library
Physics
Thermodynamics
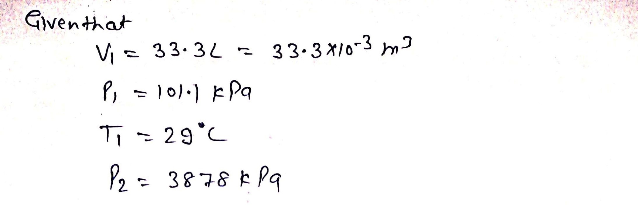
Question: 33.3 L of air at 101.1 kPa and 29°C was compressed to ...
Question: 33.3 L of air at 101.1 kPa and 29°C was compressed to 3,...