Subjects
Online Tutoring
Homework Help
Homework Library
Tutors
Online Classes
More
Bookstore
Blog
Technical Tips
FAQ
Contact Us
Get Help Now
Home
Homework Library
Physics
Thermodynamics
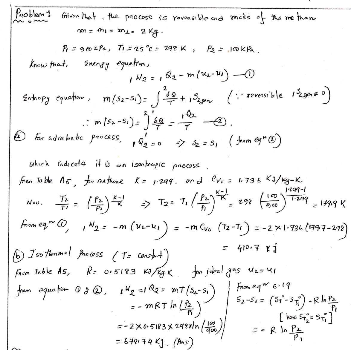
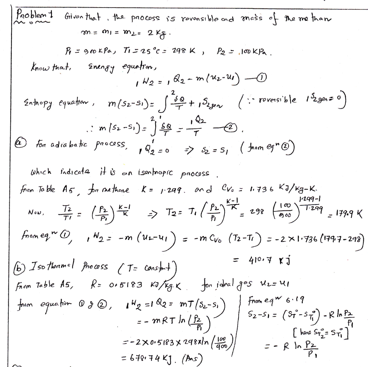
1. A cylinder/piston contains 2 kg of methane gas at 900 kPa and 25...
1. A cylinder/piston contains 2 kg of methane gas at 900 kPa and 25...