Subjects
Online Tutoring
Homework Help
Homework Library
Tutors
Online Classes
More
Bookstore
Blog
Technical Tips
FAQ
Contact Us
Get Help Now
Home
Homework Library
Psychology
Research Design
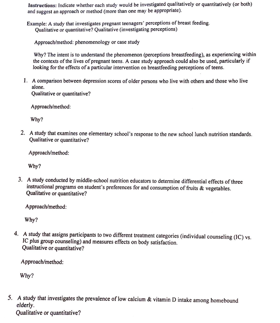
Instructions: Indicate whether each study would be investigated qua...
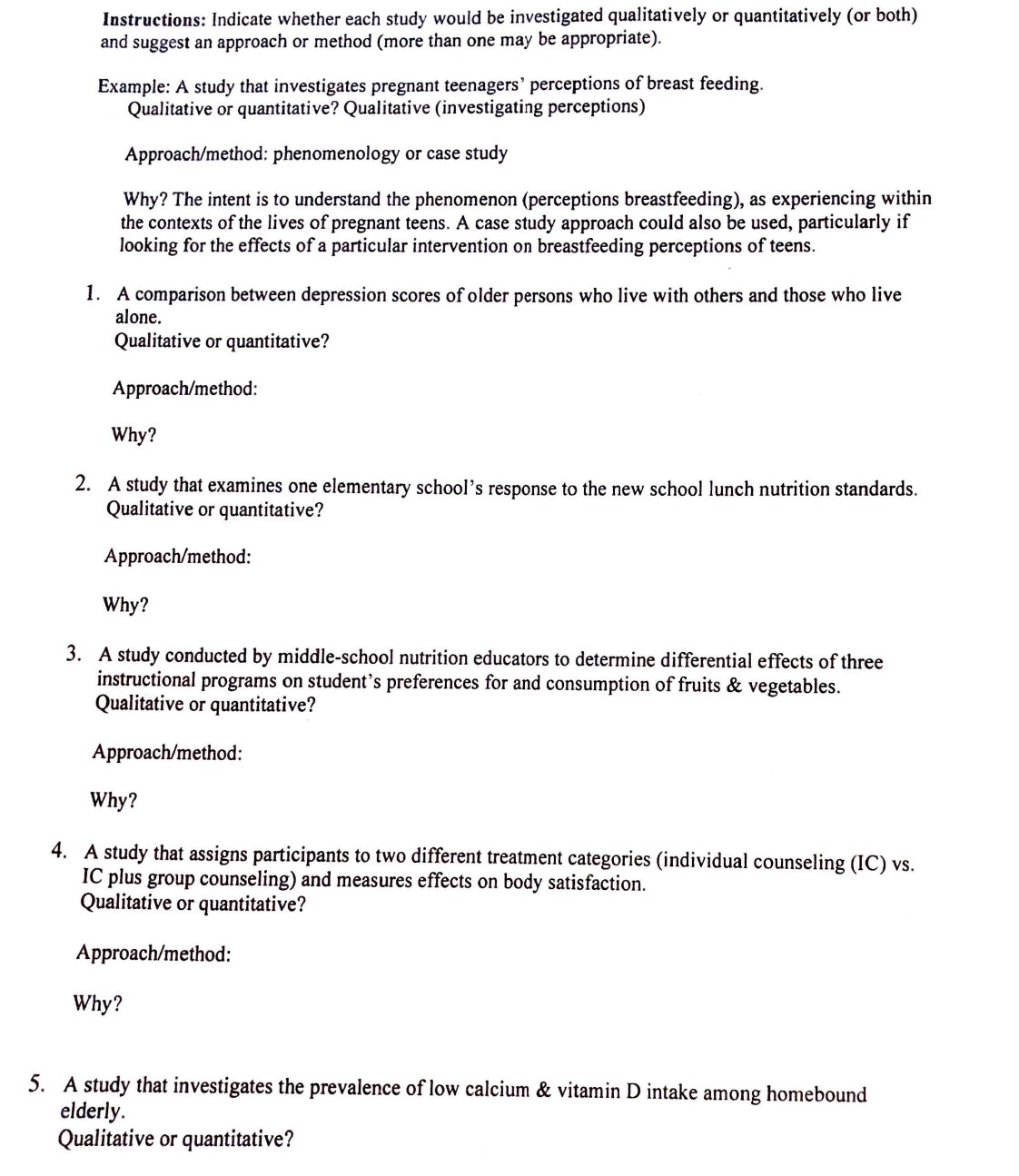
Instructions: Indicate whether each study would be investigated qua...