Subjects
Online Tutoring
Homework Help
Homework Library
Tutors
More
Bookstore
Blog
Technical Tips
FAQ
Contact Us
Get Help Now
Home
Homework Library
Computer Science
Information Theory
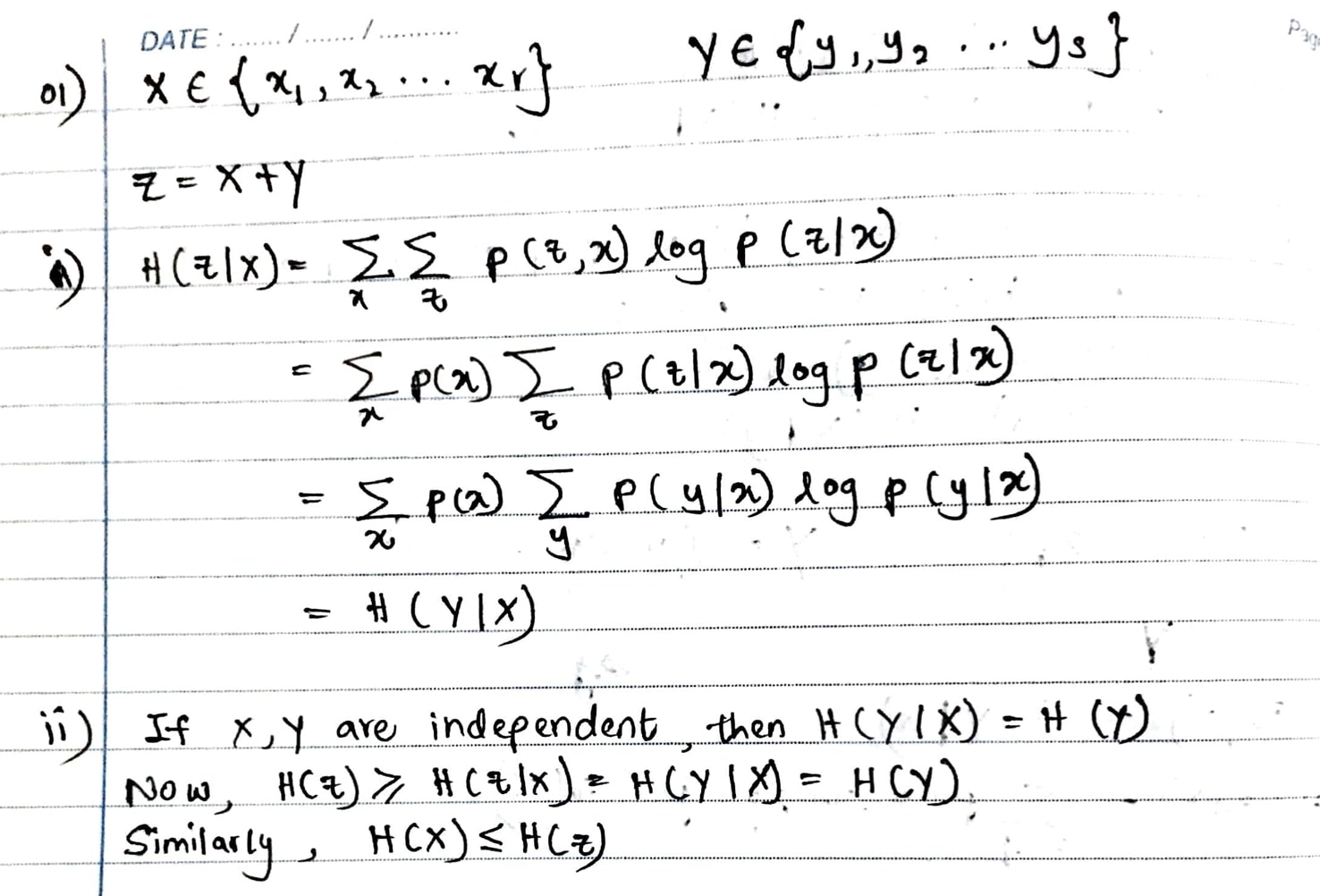
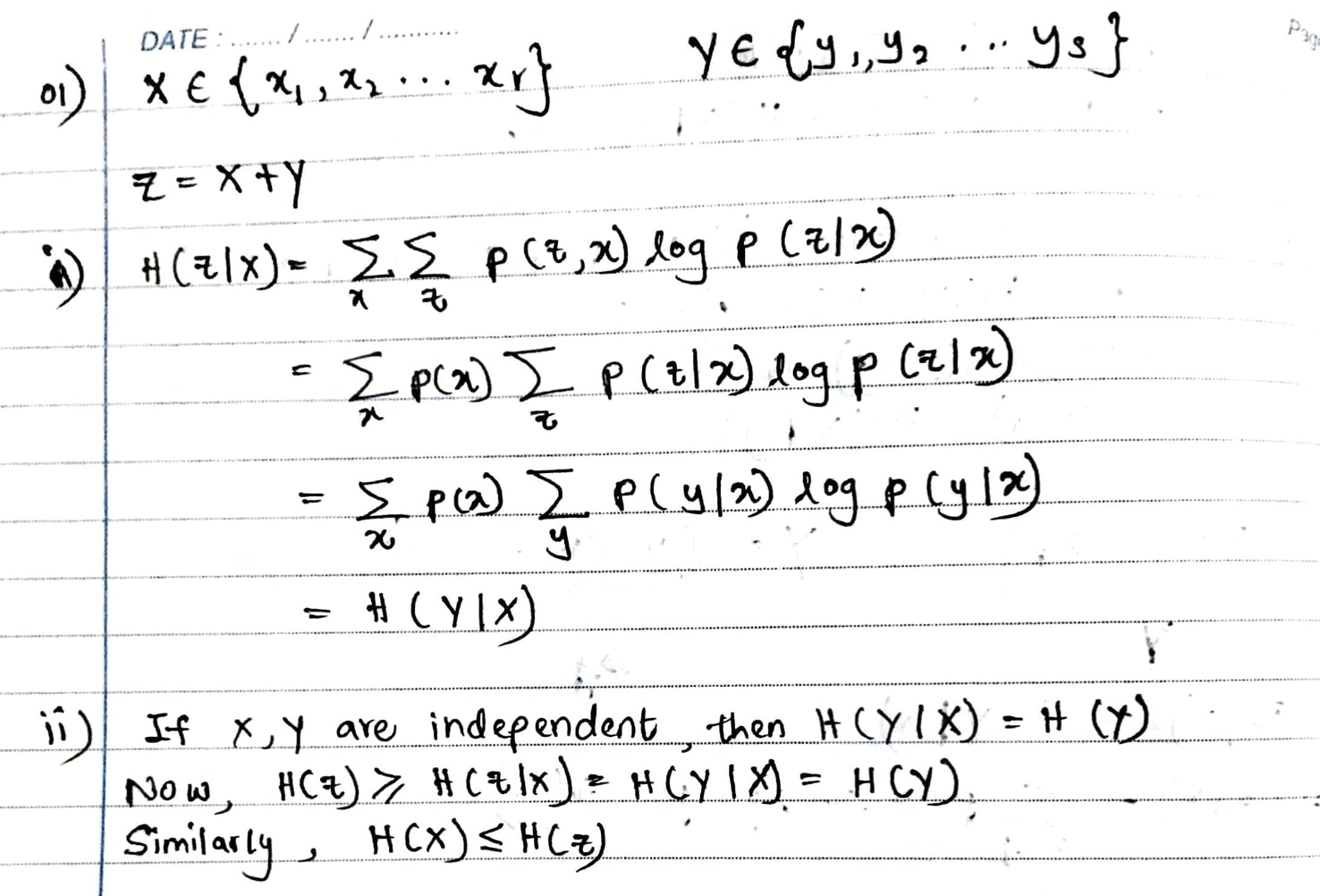
1.) Let X and Y be random variables that take on values x1, x2, …...