Subjects
Online Tutoring
Homework Help
Homework Library
Tutors
More
Bookstore
Blog
Technical Tips
FAQ
Contact Us
Get Help Now
Home
Homework Library
Earth Science
Oceanography
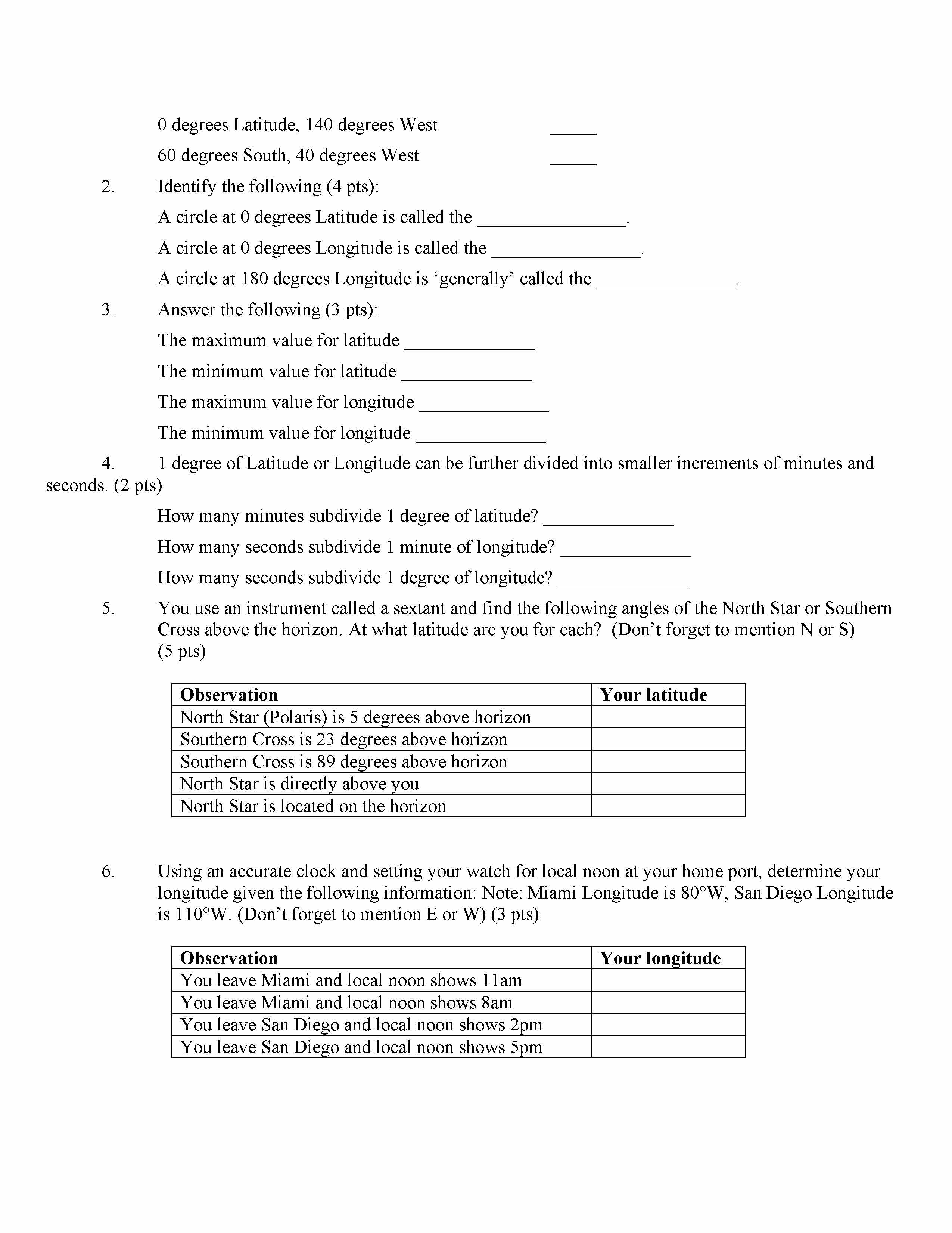
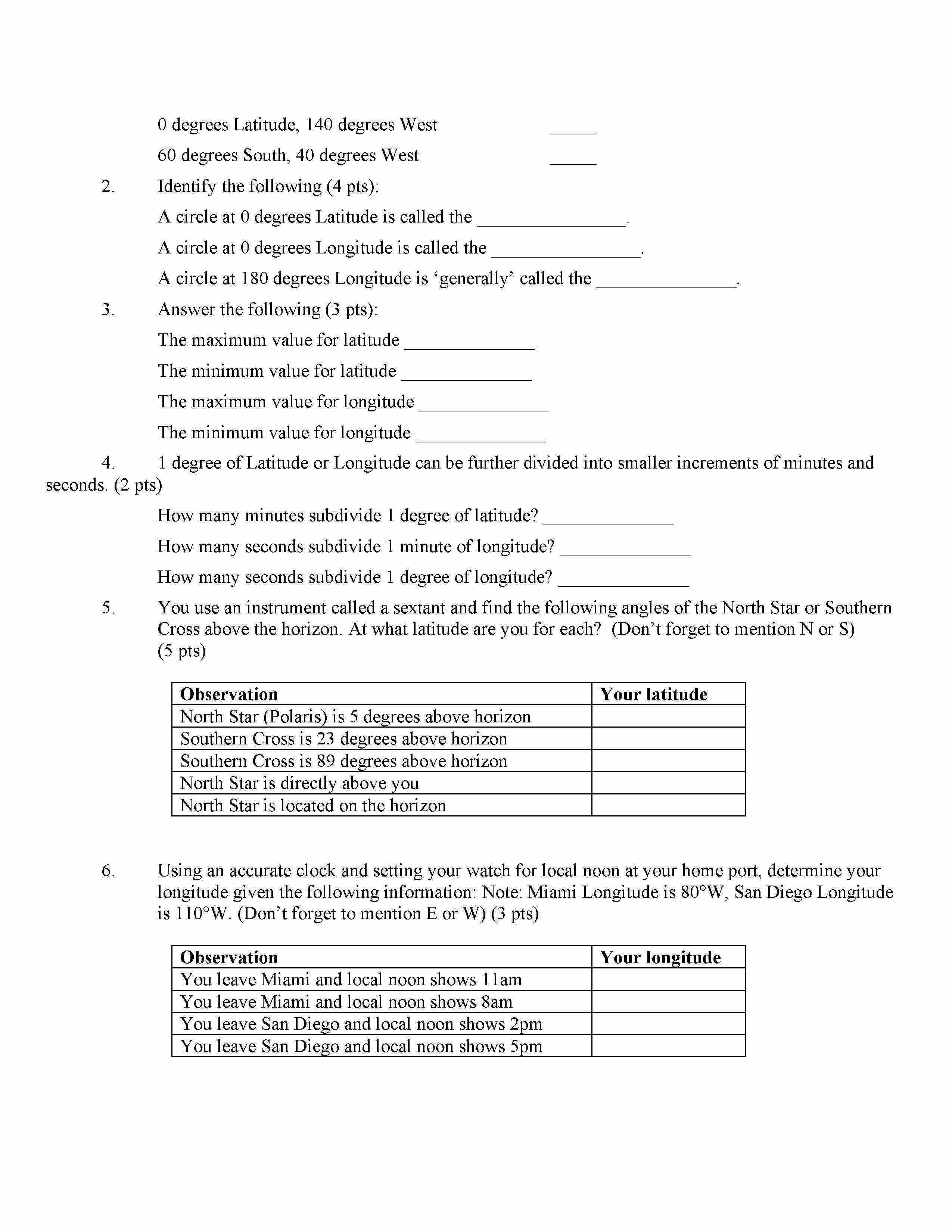
Instructions: Read the link Geographic Projections. Then read appe...
Instructions: Read the link Geographic Projections. Then read appe...