Subjects
Online Tutoring
Homework Help
Homework Library
Tutors
More
Bookstore
Blog
Technical Tips
FAQ
Contact Us
Get Help Now
Home
Homework Library
Engineering
Corrosion
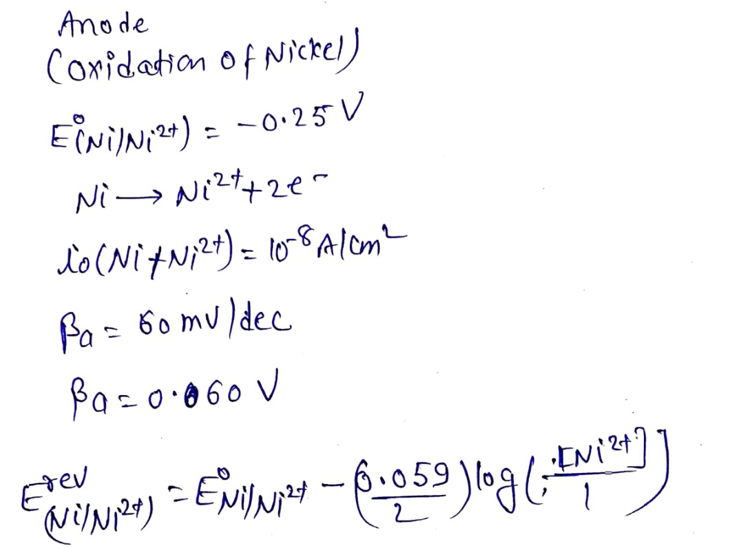
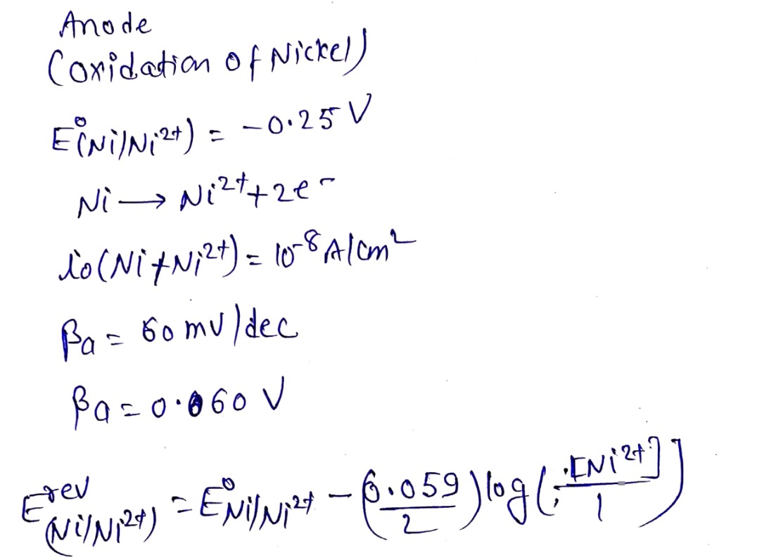
1. Ni is dissolving in 1 M H2SO4 + 10-3 M NiSO4. Graphically determ...
1. Ni is dissolving in 1 M H2SO4 + 10-3 M NiSO4. Graphically determ...