Subjects
Online Tutoring
Homework Help
Homework Library
Tutors
More
Bookstore
Blog
Technical Tips
FAQ
Contact Us
Get Help Now
Home
Homework Library
Engineering
Engineering - Other
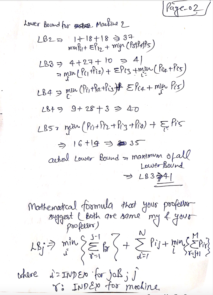
1. Solve the following flow shop scheduling problem using modified...
1. Solve the following flow shop scheduling problem using modified...