Subjects
Online Tutoring
Homework Help
Homework Library
Tutors
More
Bookstore
Blog
Technical Tips
FAQ
Contact Us
Get Help Now
Home
Homework Library
Engineering
Hydrodynamics
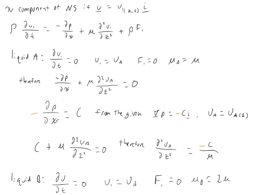
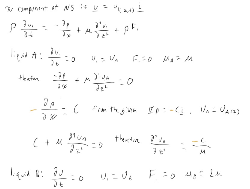
Question 4 (Unit 8) - 25 marks Consider the steady, laminar flow o...
Question 4 (Unit 8) - 25 marks Consider the steady, laminar flow o...