Subjects
Online Tutoring
Homework Help
Homework Library
Tutors
More
Bookstore
Blog
Technical Tips
FAQ
Contact Us
Get Help Now
Home
Homework Library
Mathematics
Advanced Math
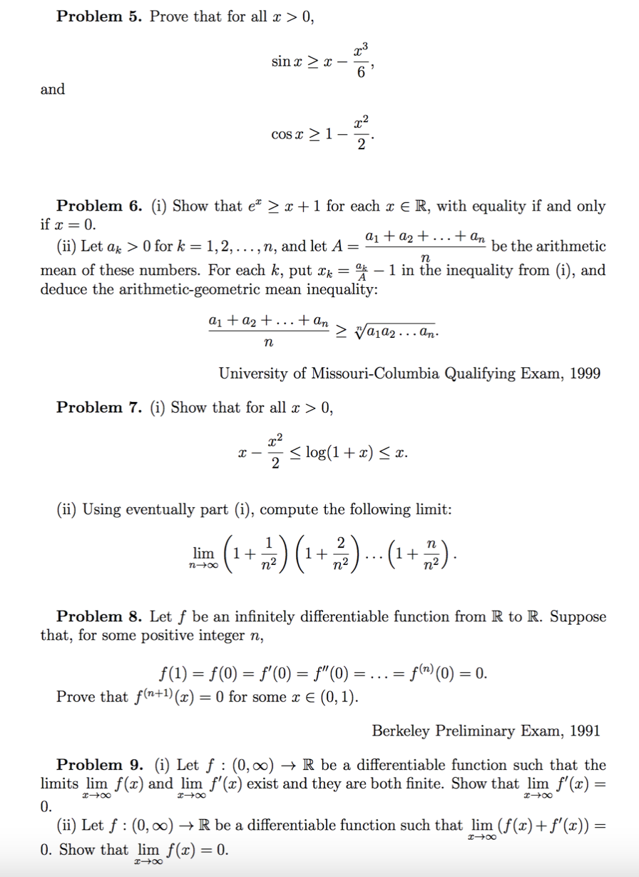
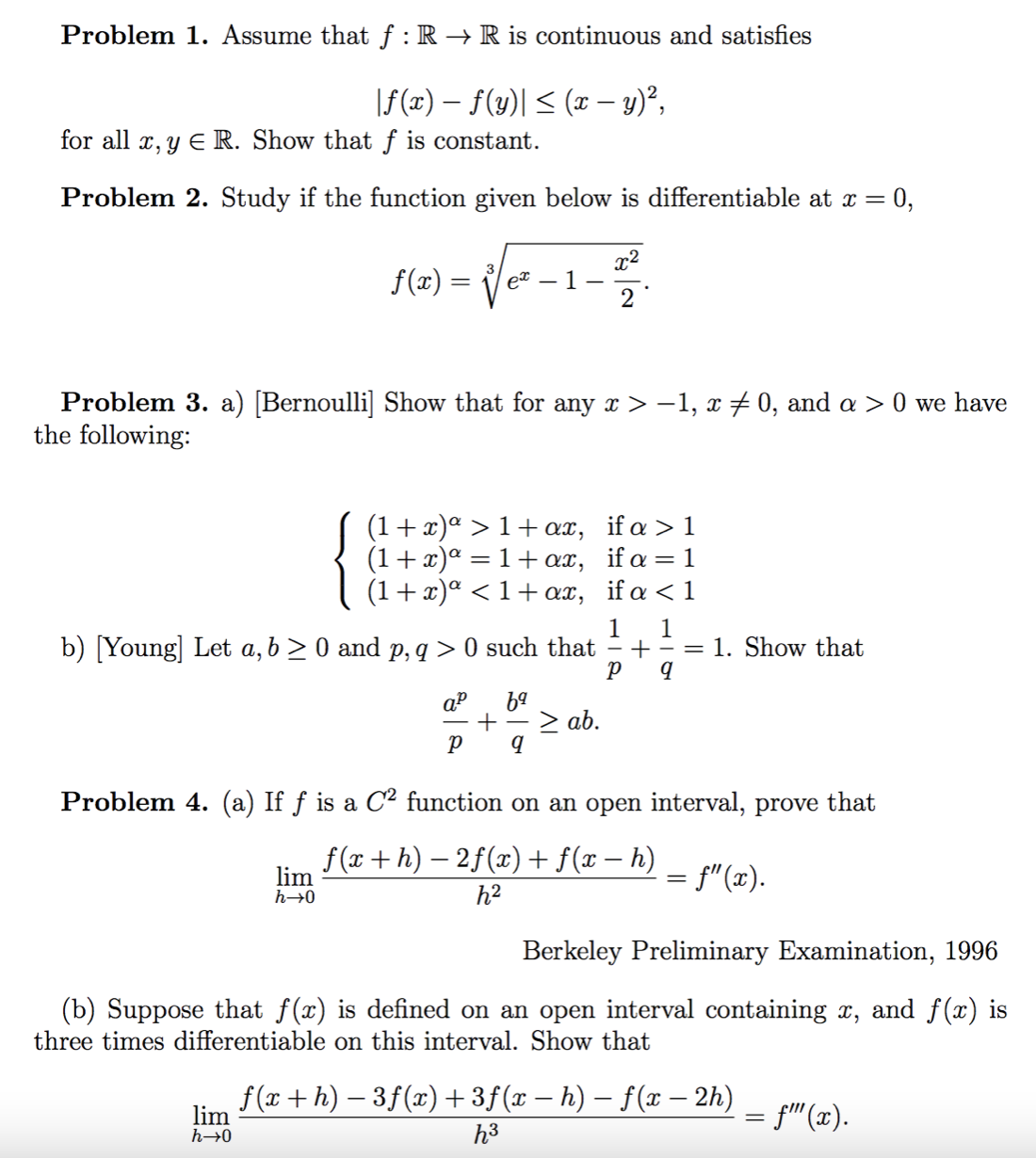
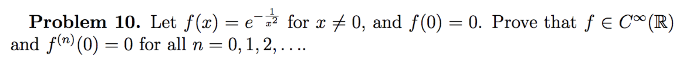
Problem 1. Assume that f : R R is continuous and satisfies |f(x)-f...
Problem 1. Assume that f : R R is continuous and satisfies |f(x)-f...