Subjects
Online Tutoring
Homework Help
Homework Library
Tutors
More
Bookstore
Blog
Technical Tips
FAQ
Contact Us
Get Help Now
Home
Homework Library
Mathematics
Advanced Statistics
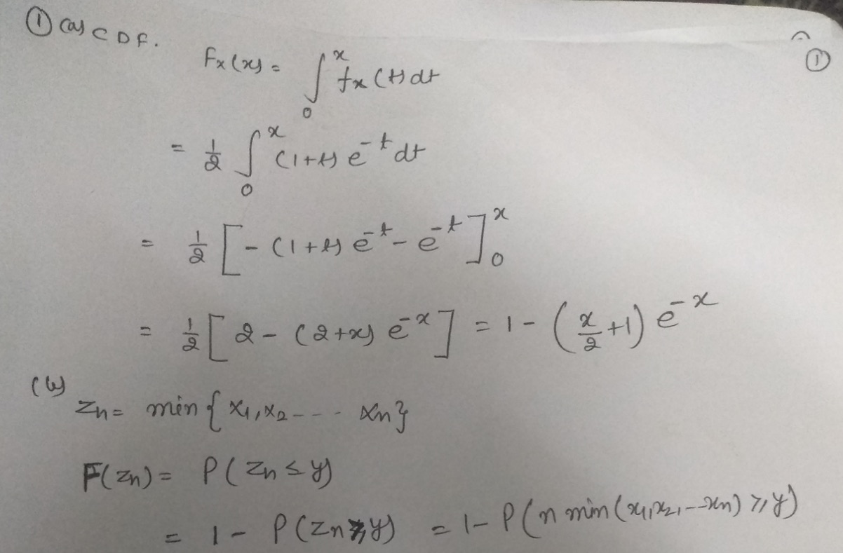
1. The PDF of a random variable X is fX(x) = :5(1+x)eô€€€x; ...
1. The PDF of a random variable X is fX(x) = :5(1+x)eô€€€x; x >...