Subjects
Online Tutoring
Homework Help
Homework Library
Tutors
More
Bookstore
Blog
Technical Tips
FAQ
Contact Us
Get Help Now
Home
Homework Library
Mathematics
Calculus
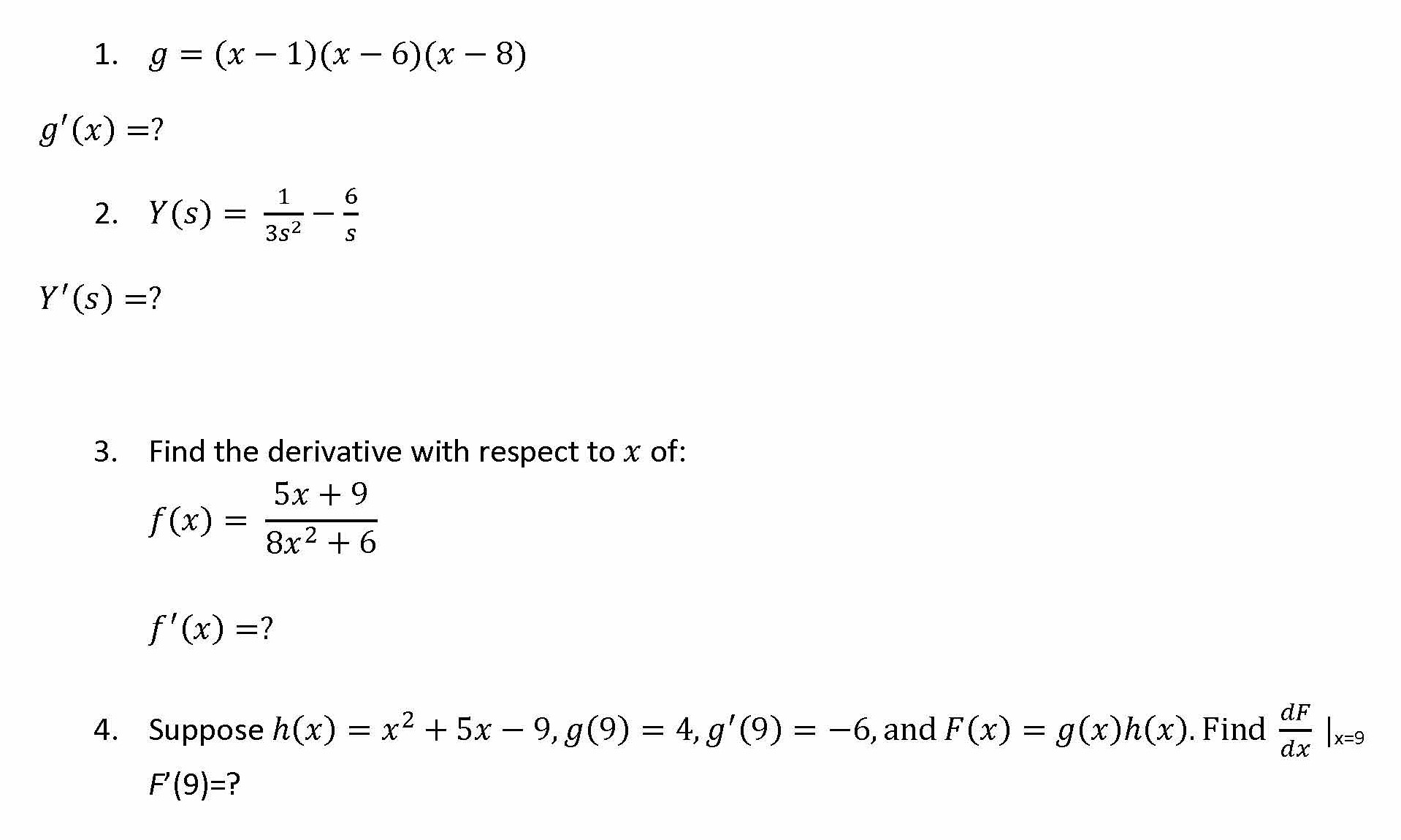
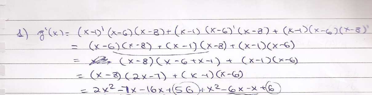
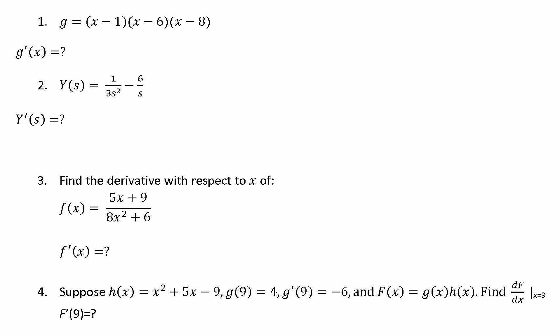
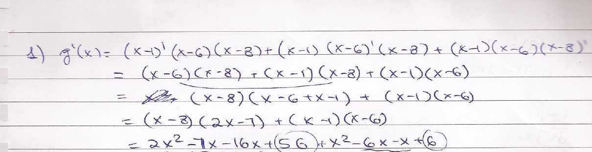
1. g-(x-1)(x-6)(x-8) - - - - g'(x) -7 2. Y(s) - s Y'(s) -? 3. ...
1. g-(x-1)(x-6)(x-8) - - - - g'(x) -7 2. Y(s) - s Y'(s) -? 3....