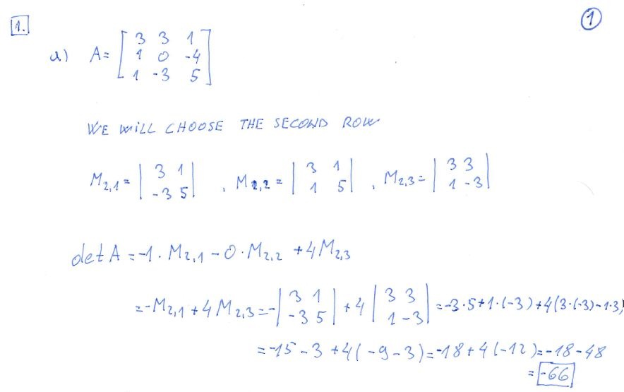
20 points 1. Evaluate det(A) by a cofactor expansion along a row or...