Subjects
Online Tutoring
Homework Help
Homework Library
Tutors
More
Bookstore
Blog
Technical Tips
FAQ
Contact Us
Get Help Now
Home
Homework Library
Mathematics
Measure Theory
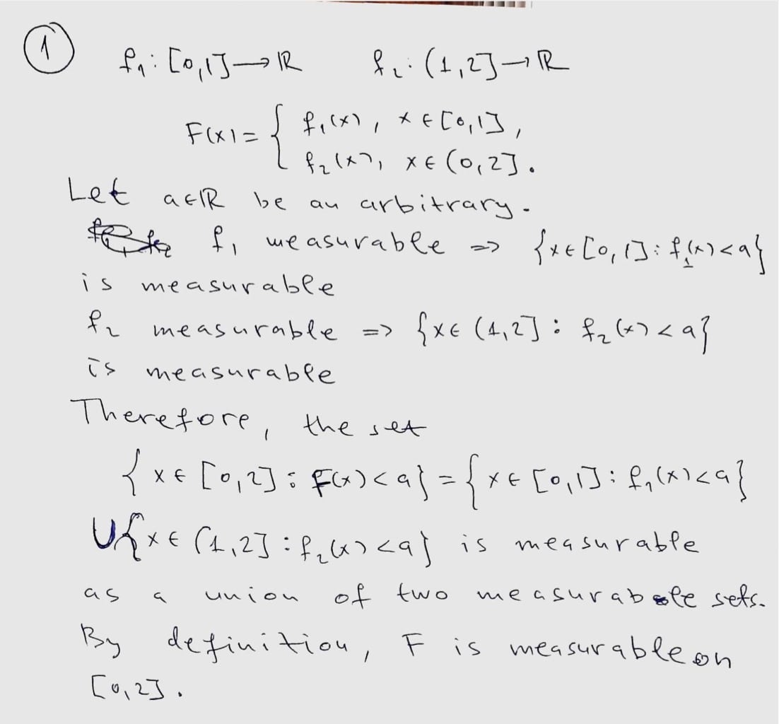
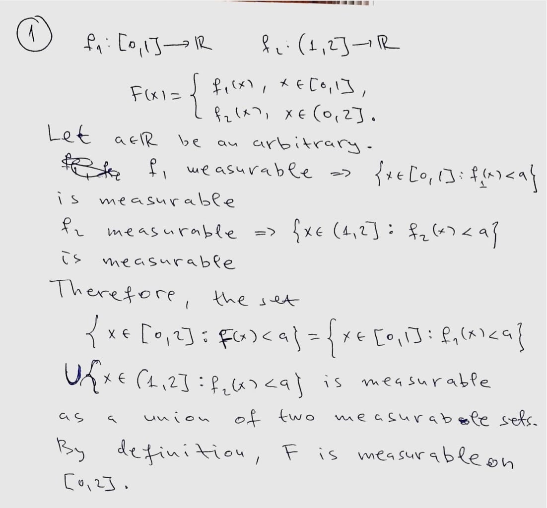
(1) Suppose that f1 : [0,1] R and f2 : (1, 2] R are measurable func...
(1) Suppose that f1 : [0,1] R and f2 : (1, 2] R are measurable func...