Subjects
Online Tutoring
Homework Help
Homework Library
Tutors
More
Bookstore
Blog
Technical Tips
FAQ
Contact Us
Get Help Now
Home
Homework Library
Mathematics
Number Theory
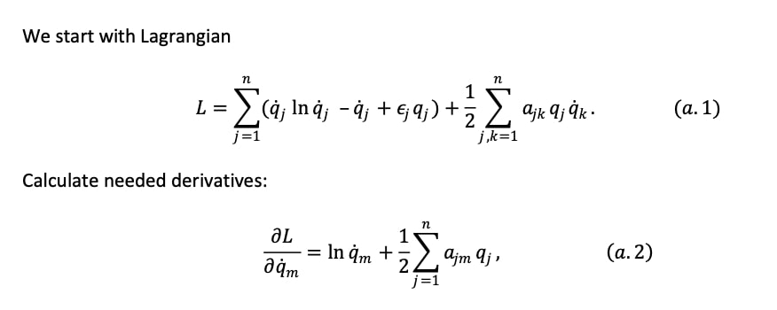
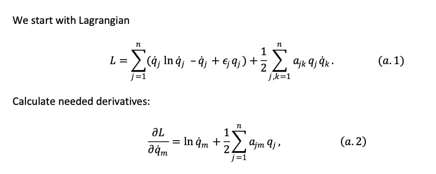
(a) Consider the Lagrangian n n 1 L = [ (Ã j In 9j - 9j + (q...
(a) Consider the Lagrangian n n 1 L = [ (Ã j In 9j - 9j + (q);...