Subjects
Online Tutoring
Homework Help
Homework Library
Tutors
More
Bookstore
Blog
Technical Tips
FAQ
Contact Us
Get Help Now
Home
Homework Library
Physics
MATLAB for Physics
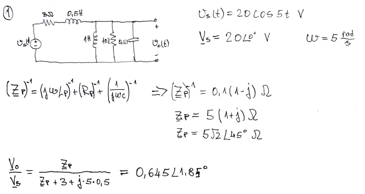
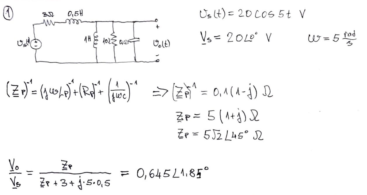
Circuits and Signals Question 1 – Circuit Principles (10 ...
Circuits and Signals Question 1 – Circuit Principles (10 marks...