Subjects
Online Tutoring
Homework Help
Homework Library
Tutors
More
Bookstore
Blog
Technical Tips
FAQ
Contact Us
Get Help Now
Home
Homework Library
Physics
Nuclear Physics
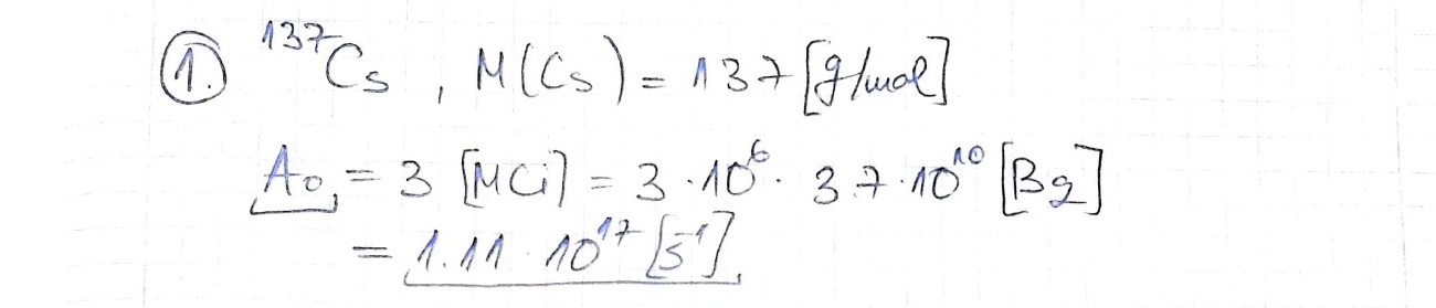
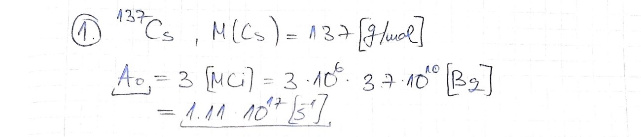
After a nuclear accident, high levels of cesium 137Cs with activity...
After a nuclear accident, high levels of cesium 137Cs with activity...