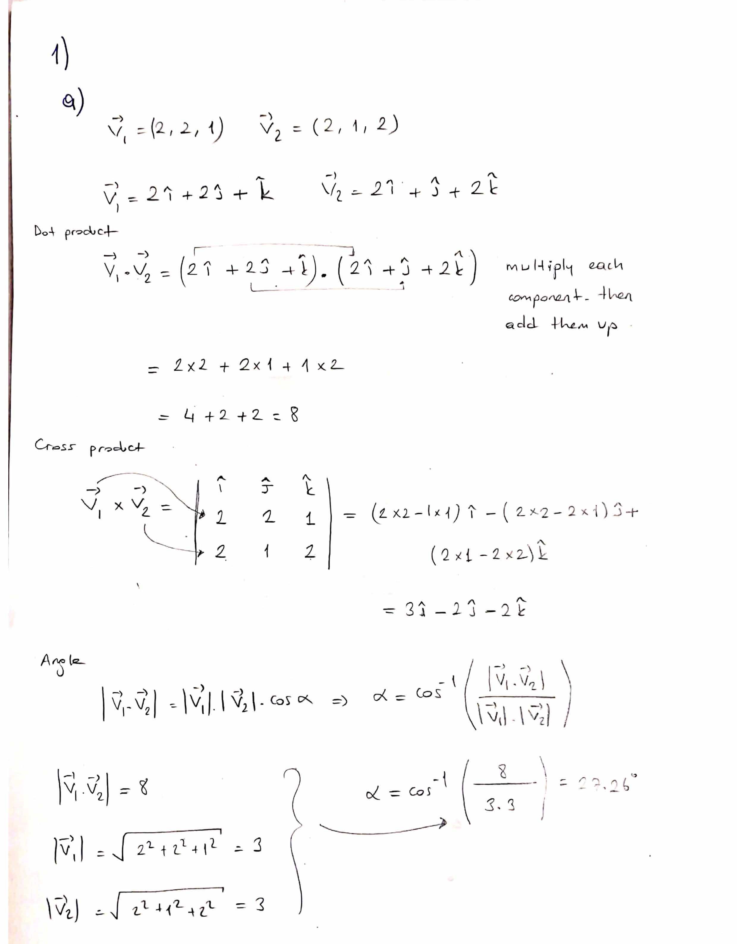
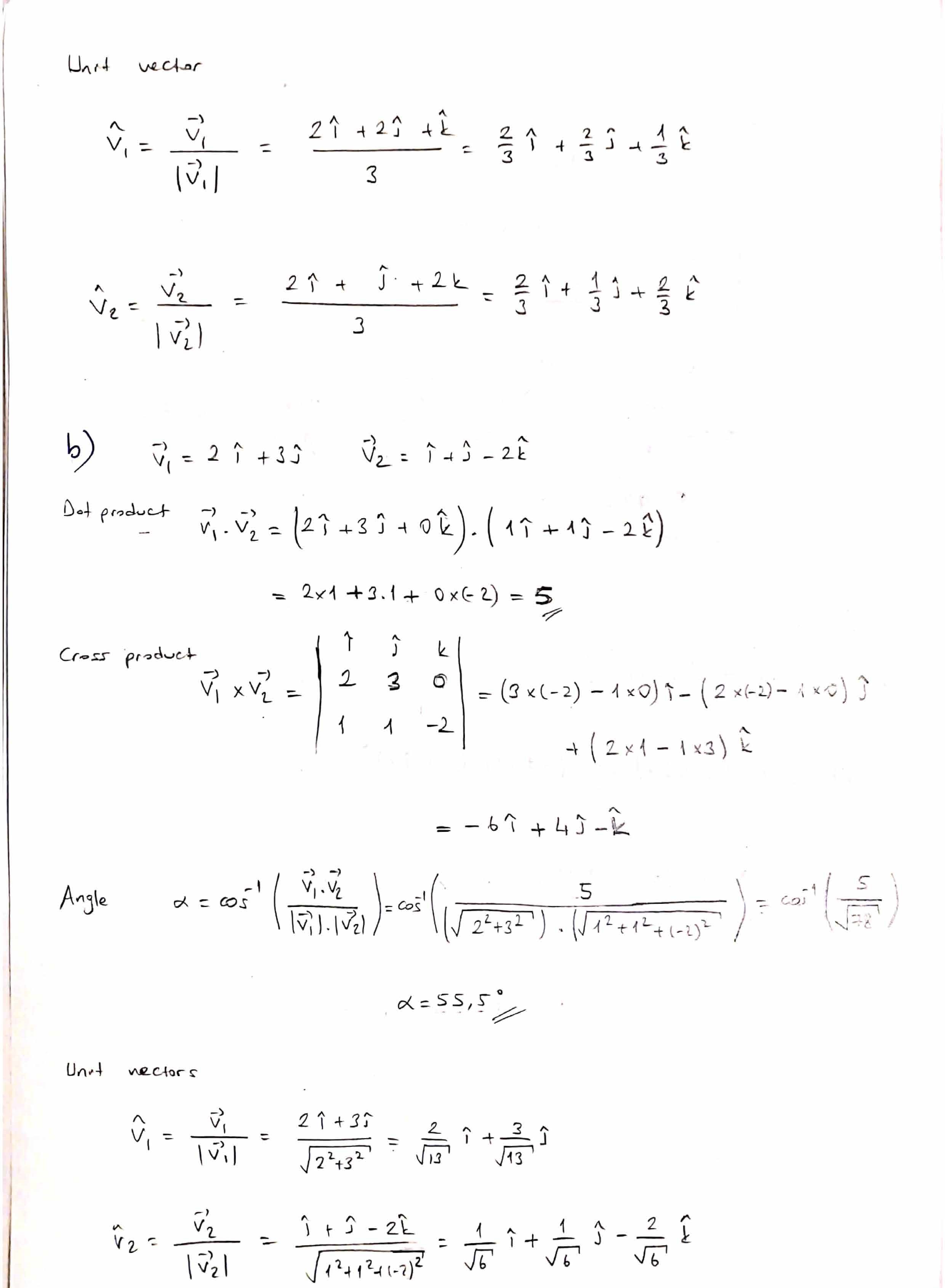
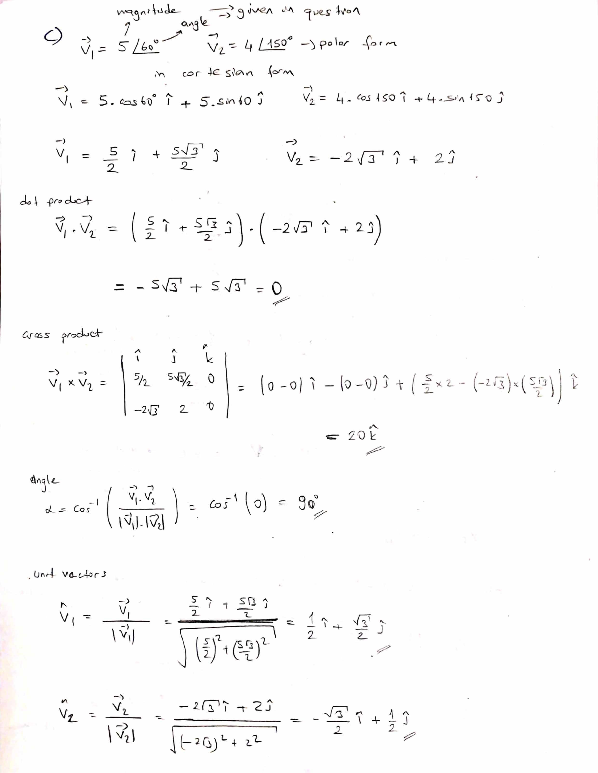
1. Calculate 01.02, UT X U2, the angle O. between VT1 and V2, and t...