Subjects
Online Tutoring
Homework Help
Homework Library
Tutors
More
Bookstore
Blog
Technical Tips
FAQ
Contact Us
Get Help Now
Home
Homework Library
Physics
Quantum Physics
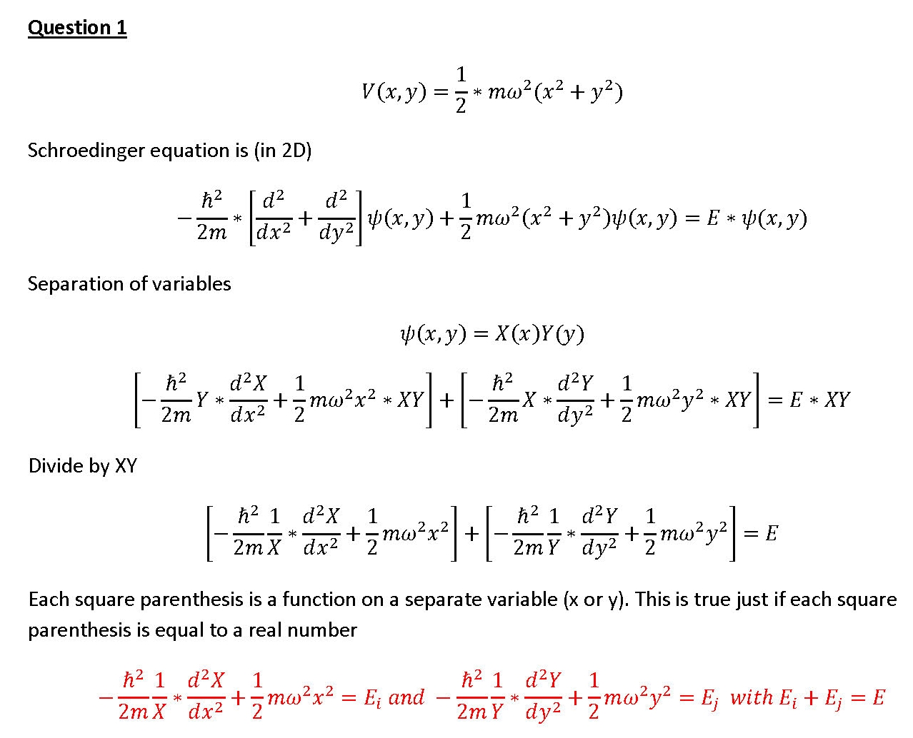
1. The potential function for the 2D harmonic oscillator is: V(x,y)...
1. The potential function for the 2D harmonic oscillator is: V(x,y)...