Subjects
Online Tutoring
Homework Help
Homework Library
Tutors
More
Bookstore
Blog
Technical Tips
FAQ
Contact Us
Get Help Now
Home
Homework Library
Physics
Thermodynamics
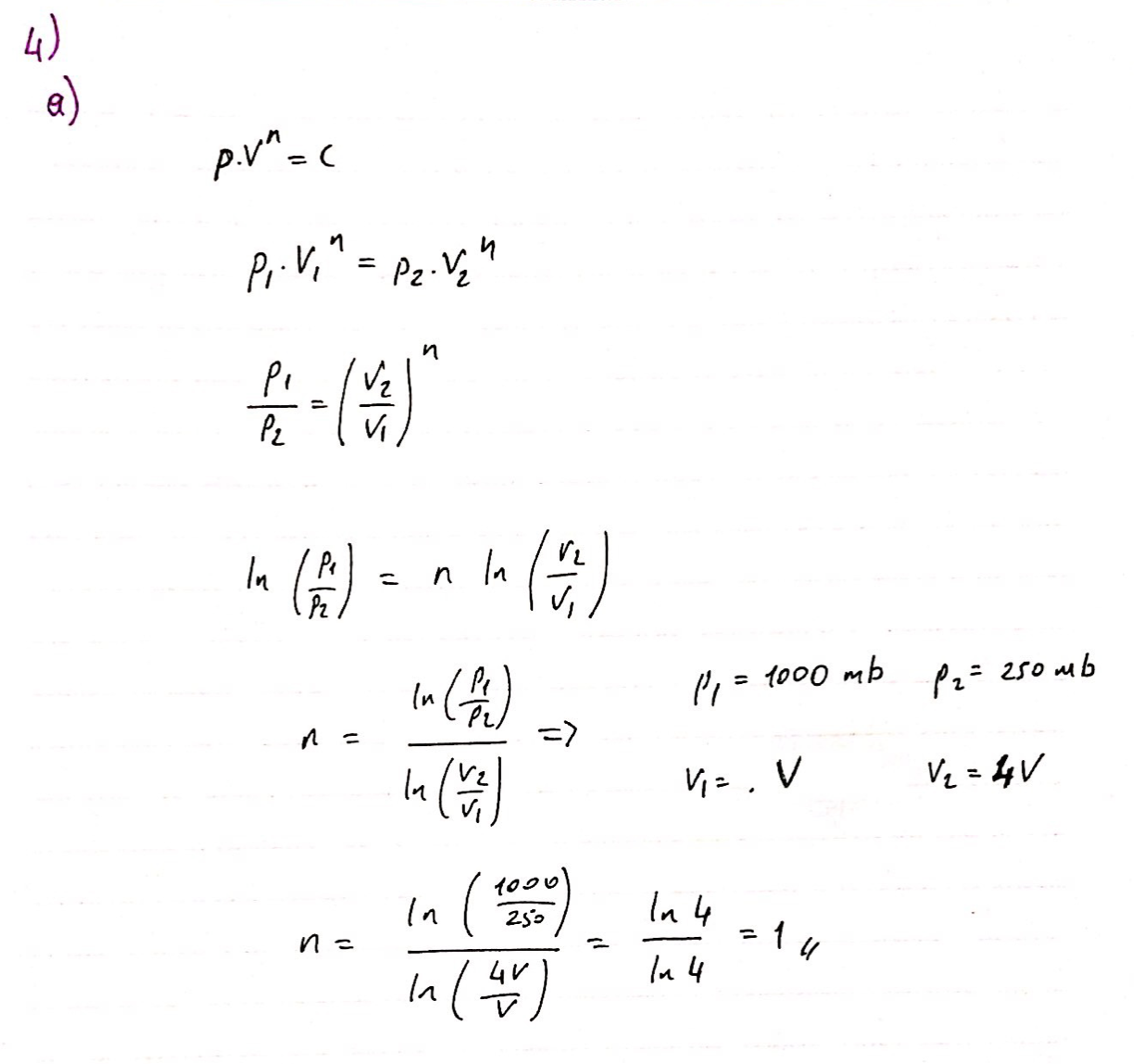
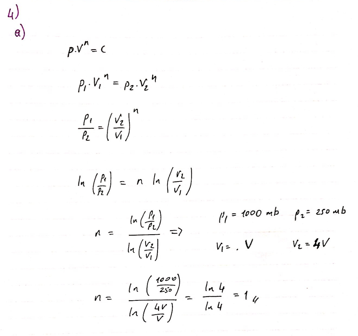
Consider one mole of air with initial temperature of 0 degrees Celi...
Consider one mole of air with initial temperature of 0 degrees Celi...