Subjects
Online Tutoring
Homework Help
Homework Library
Tutors
Online Classes
More
Bookstore
Blog
Technical Tips
FAQ
Contact Us
Get Help Now
Home
Homework Library
Computer Science
Discrete Math
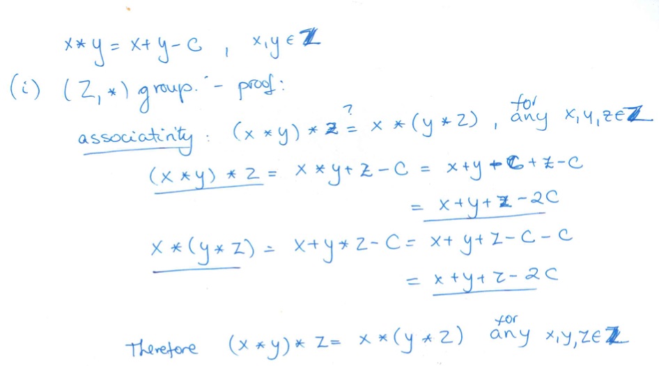
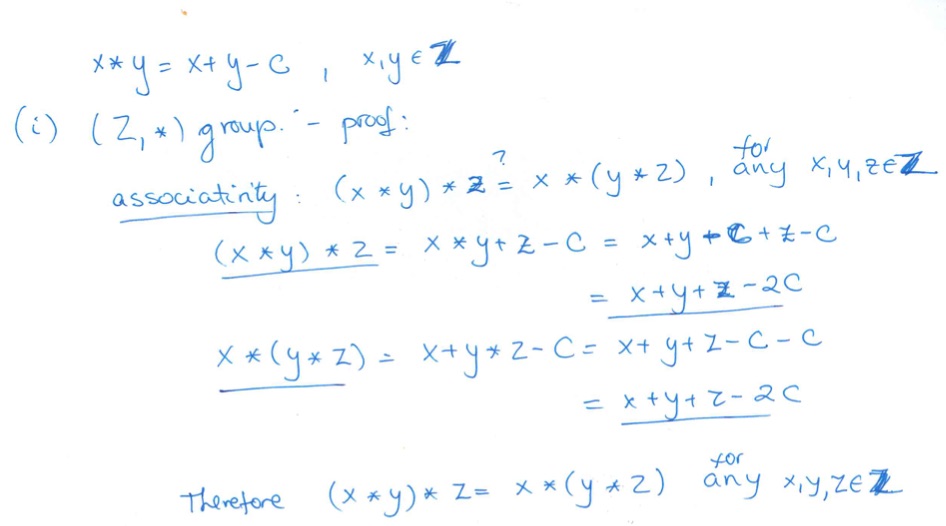
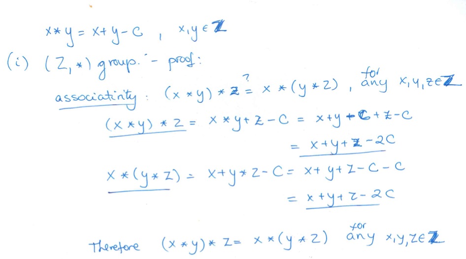
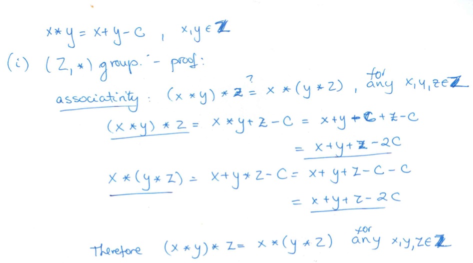
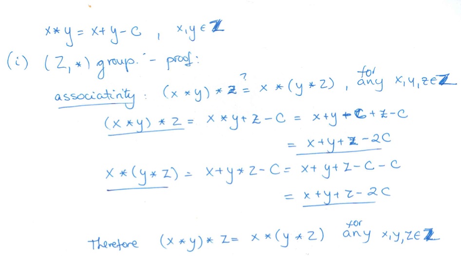
Let C be a fixed integer and define x ∗ y = x + y − C f...
Let C be a fixed integer and define x ∗ y = x + y − C for all x...