Subjects
Online Tutoring
Homework Help
Homework Library
Tutors
Online Classes
More
Bookstore
Blog
Technical Tips
FAQ
Contact Us
Get Help Now
Home
Homework Library
Mathematics
Functional Analysis
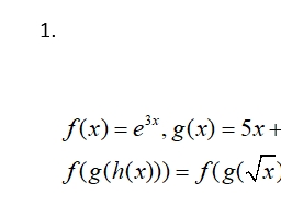
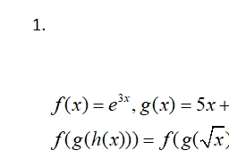
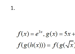
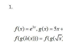
Q1) If f(x)=e³˟, g(x)=5x+7, h(x)=√x, find a simplified f...
Q1) If f(x)=e³˟, g(x)=5x+7, h(x)=√x, find a simplified formula...