Subjects
Online Tutoring
Homework Help
Homework Library
Tutors
Online Classes
More
Bookstore
Blog
Technical Tips
FAQ
Contact Us
Get Help Now
Home
Homework Library
Mathematics
Functional Analysis
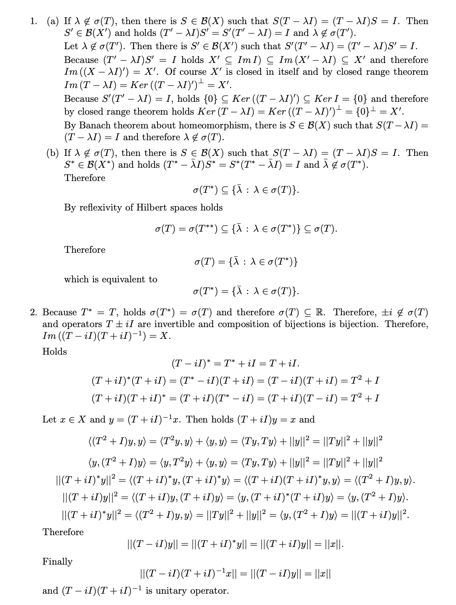
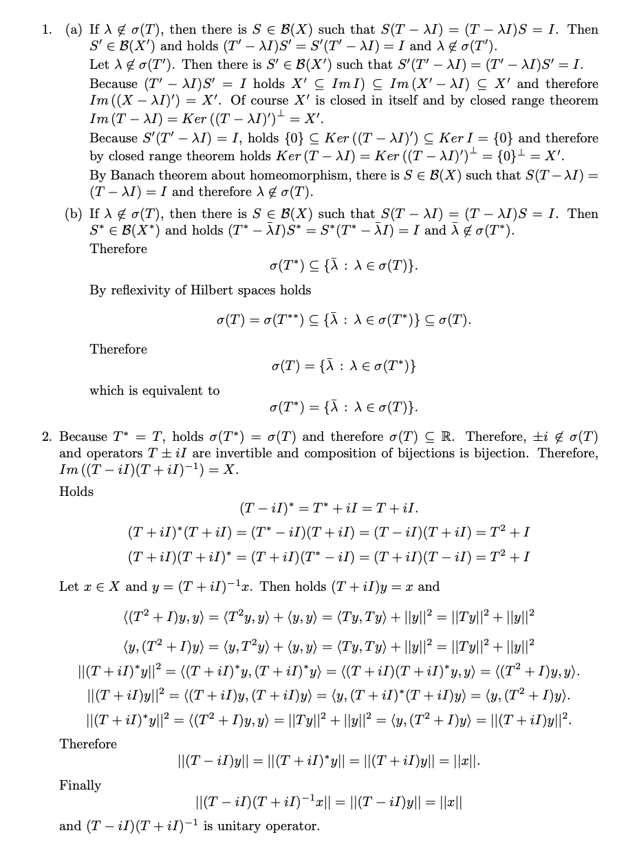
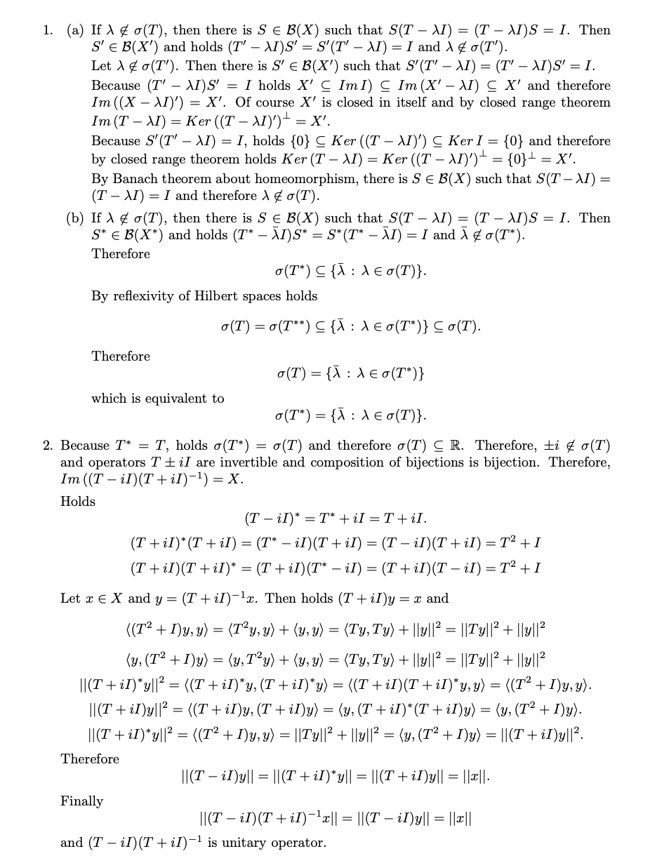
1. Let T E B(X). (a) If X is a Banach space over C and T € B...
1. Let T E B(X). (a) If X is a Banach space over C and T € B(X')...