Subjects
Online Tutoring
Homework Help
Homework Library
Tutors
Online Classes
More
Bookstore
Blog
Technical Tips
FAQ
Contact Us
Get Help Now
Home
Homework Library
Mathematics
Functional Analysis
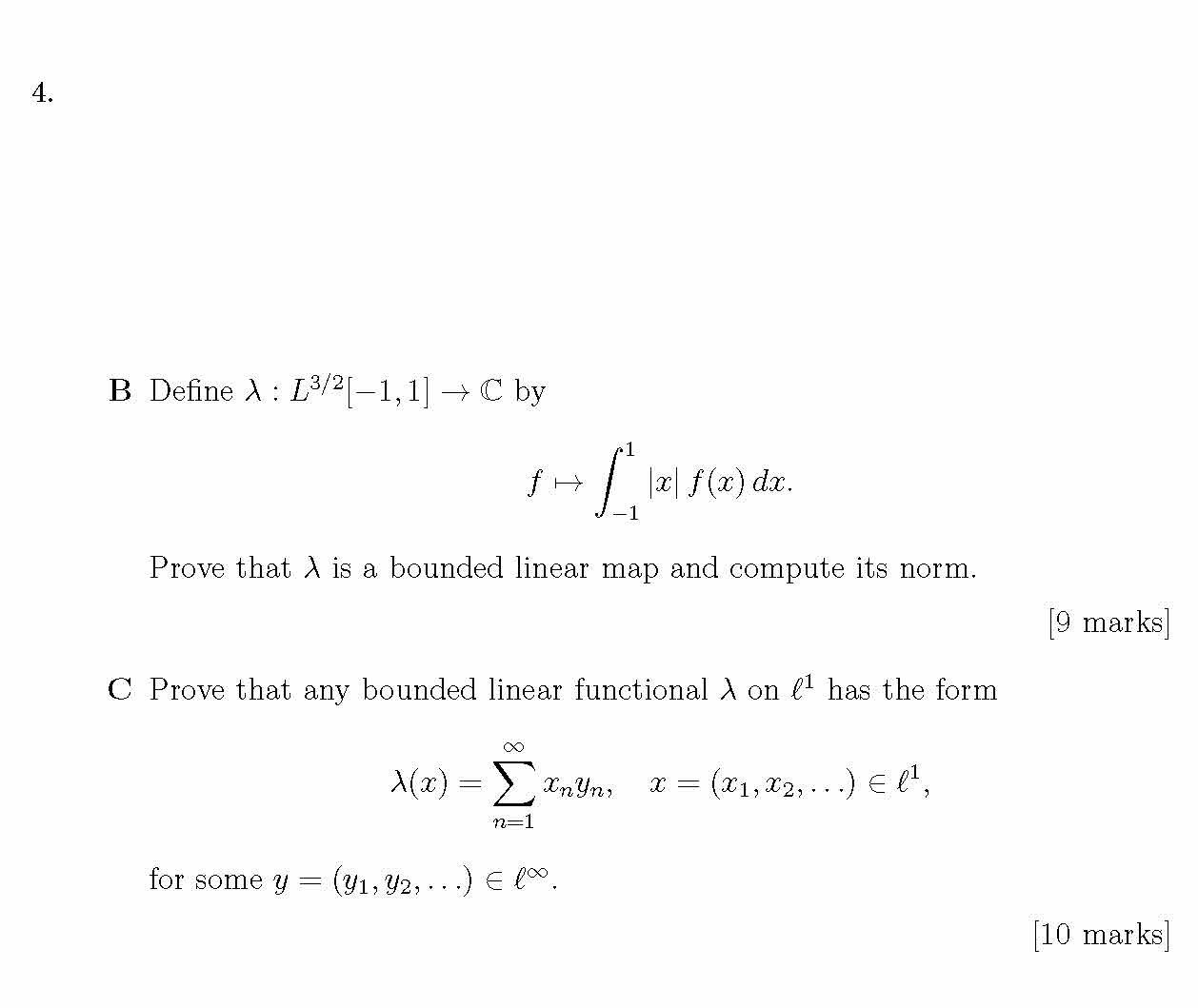
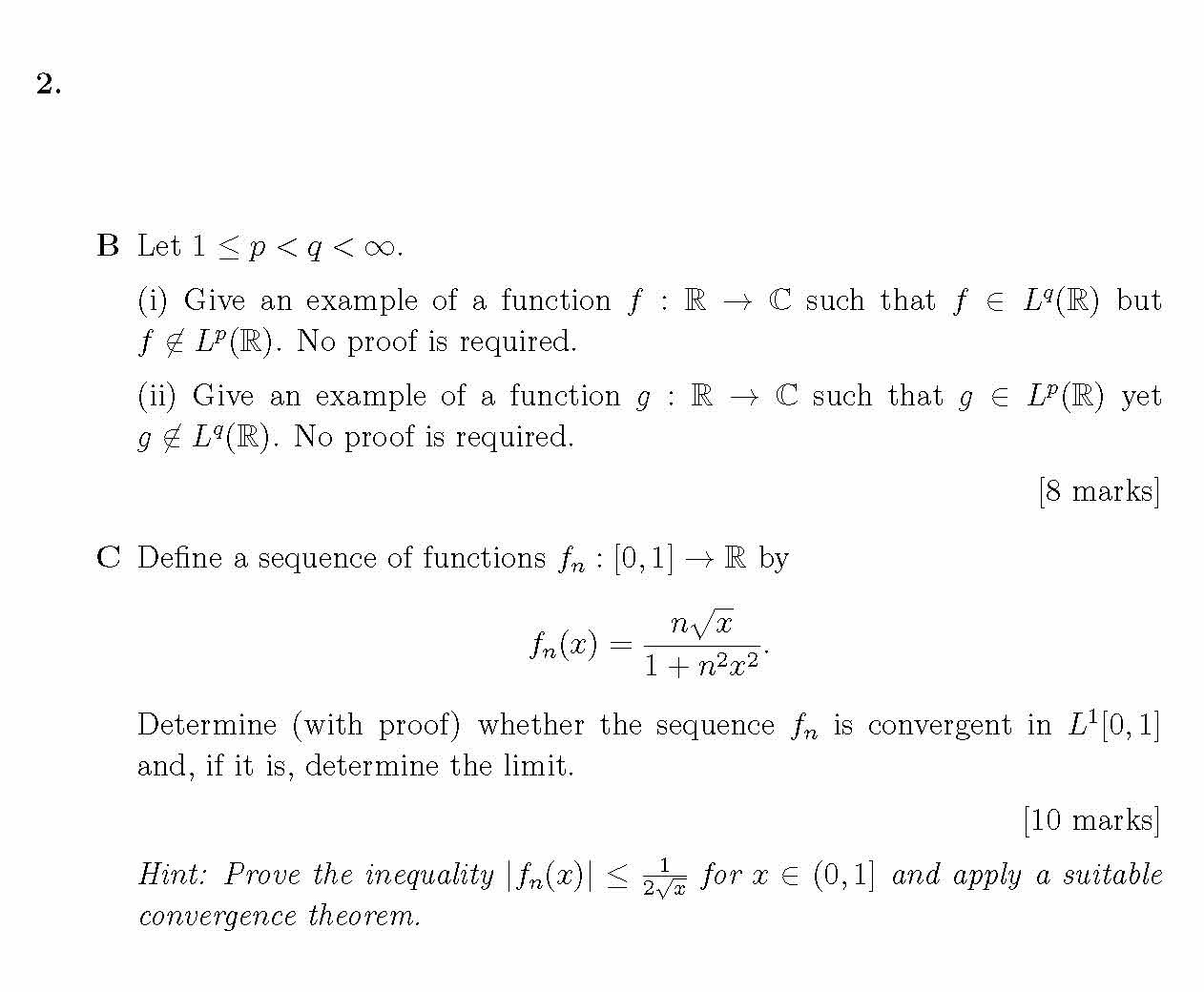
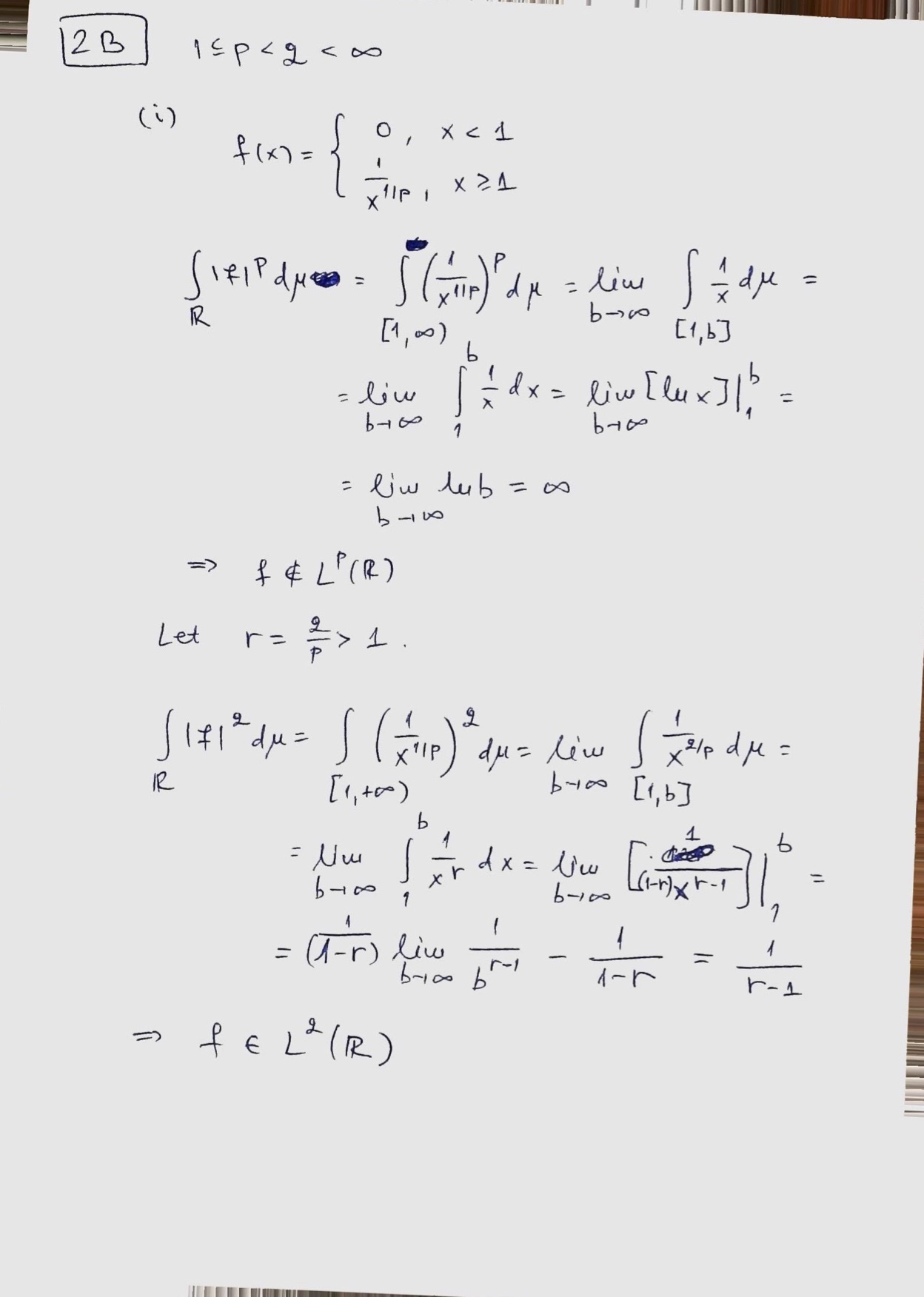
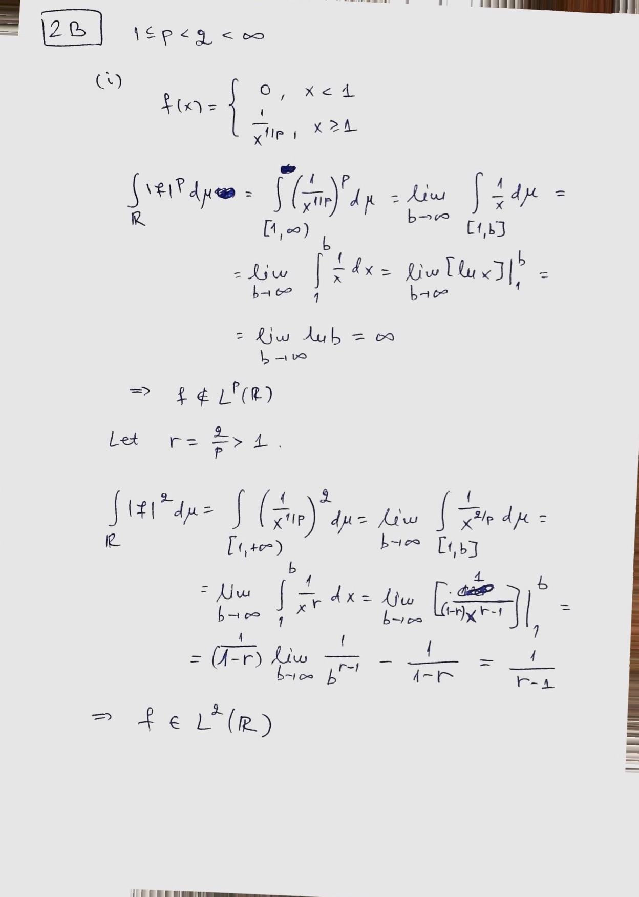
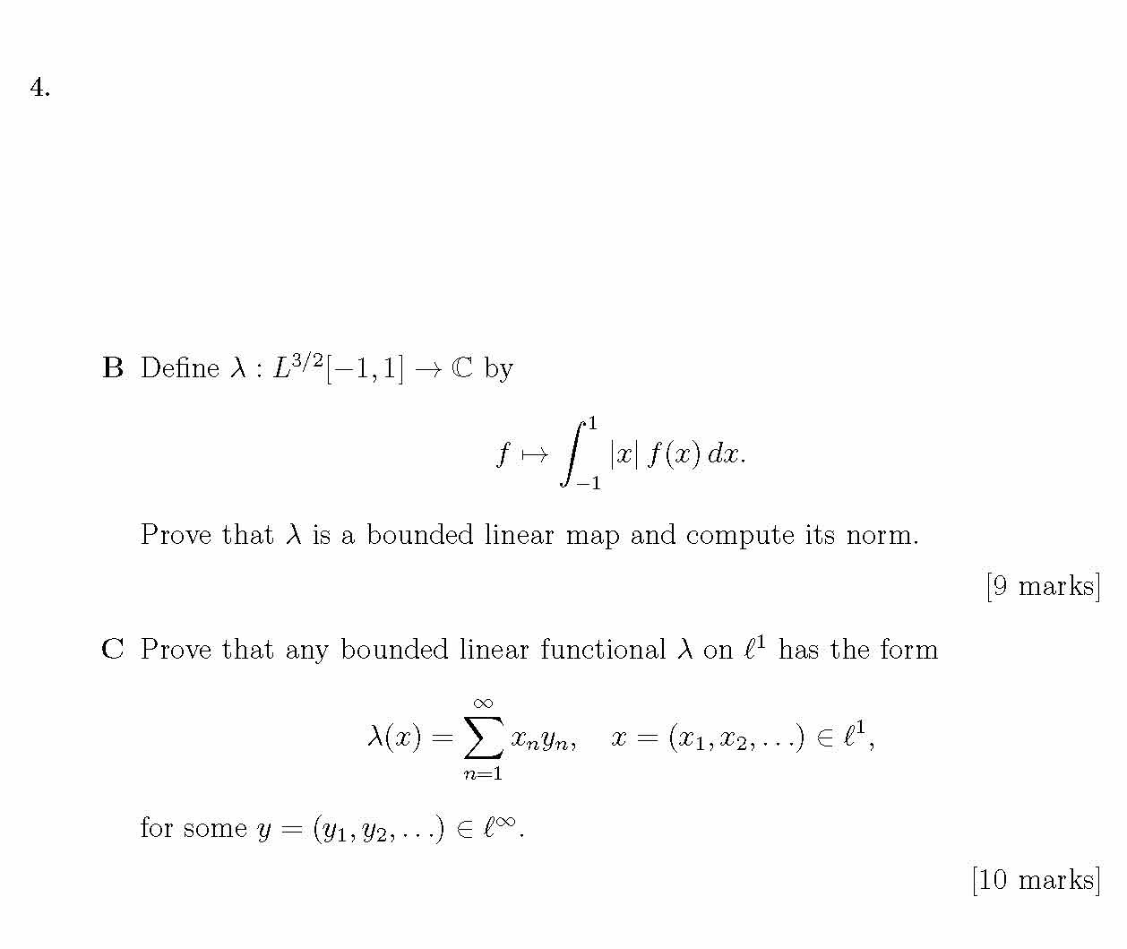
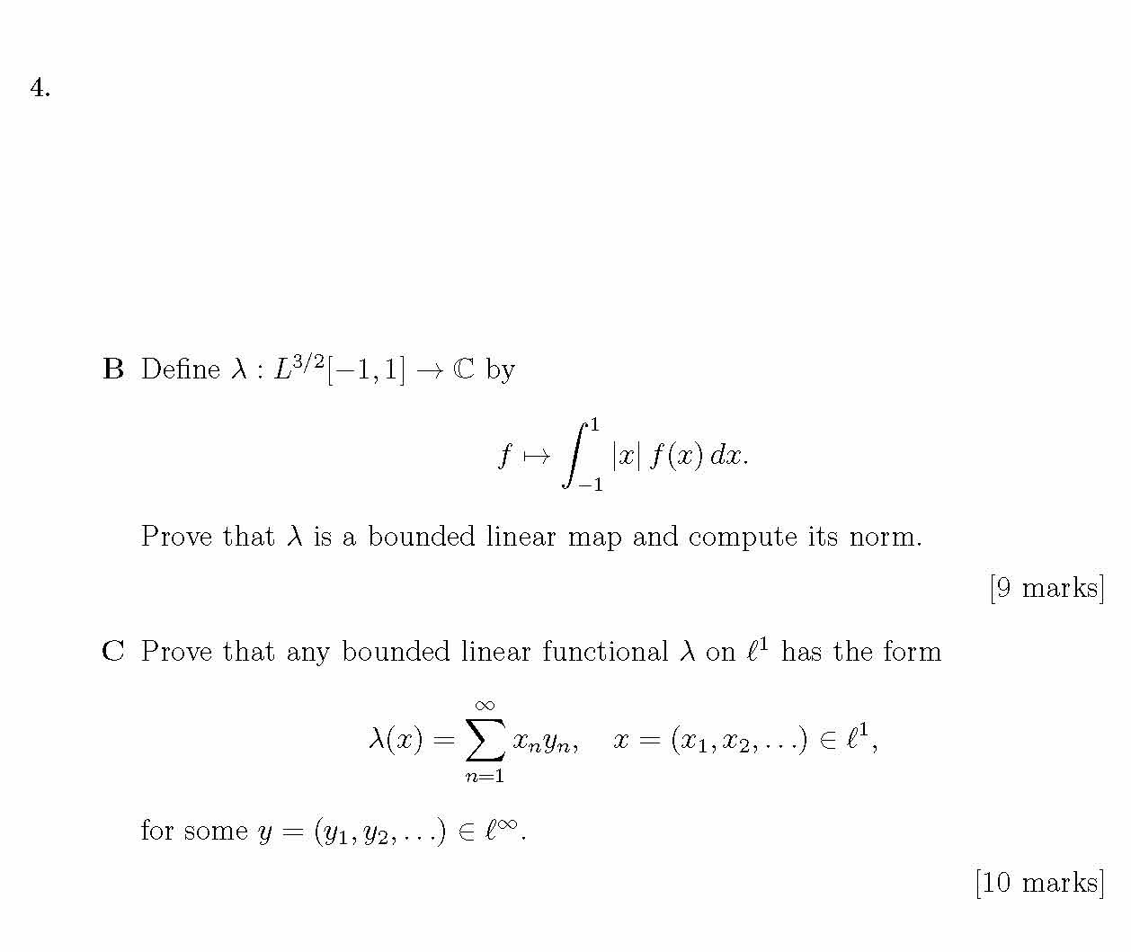
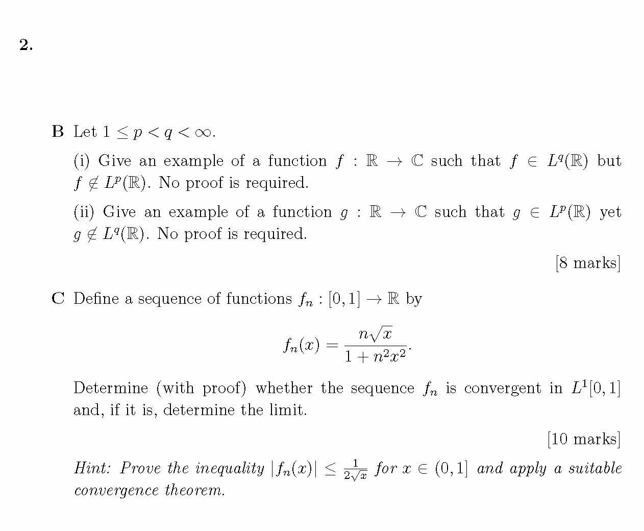
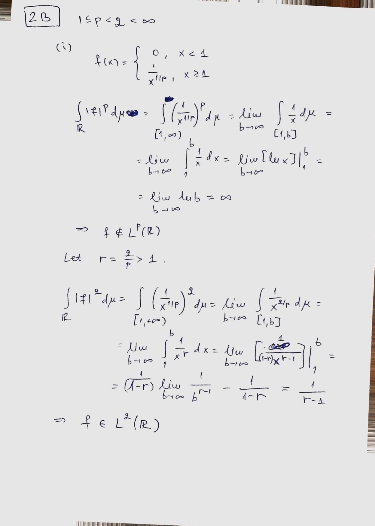
2. B Let1≤p<q<∞. (i)Give an example of a functio...
2. B Let1≤p<q<∞. (i)Give an example of a function f :Râ...